Останнє оновлення :
27/01/2026
Антикоагулянти   Heparin sodium  
ін'єкція
Стійкість в розчинах Стійкість сумішей Фактори, що впливають на стабільність Сумісність Шлях введення Список літератури pdf
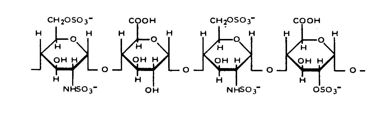
   Хімічна структура  

Торгова назва   Торгова назва     

Торгові назви є орієнтовними, а склад допоміжних речовин може бути різним залежно від країни та виробника

Arapin Чилі
Ateroclar Італія
Clarisco Італія
Epsoclar Італія
Hepaflex Норвегія, Фінляндія
Hepamax Еквадор, Колумбія, Чилі
Heparin Австрія, Великобританія, Греція, Данія, Канада, Нідерланди, Норвегія, Південно-Африканська Республіка, російський, Сербія, Сполучені Штати Америки, Таїланд, Туреччина, Угорщина, Фінляндія, Швейцарія, Швеція
Heparine Бельгія, Франція
Heparinised Австралія
Heparstad Німеччина
Liquemin Туреччина, Швейцарія
Liquemine Бразилія
Monoparin Саудівська Аравія
Normoparin Італія
Nuparin Еквадор
Pharepa Італія
Riveparin Аргентина
Sobrius Аргентина, Еквадор
Thrombophob Німеччина
Стійкість в розчинах   ін'єкція   Стійкість в розчинах : Heparin sodium     
Контейнер Розчинник Концентрація температура Зберігання Тривалість стабільності Список літератури
скло Натрію хлорид 0,9% 1 UI/ml 25°C світло
365 День
4166
Біологічний аналіз

Полівініл хлорид Натрію хлорид 0,9% 1 UI/ml 20°C-25°C Не визначено
365 День
1291
Біологічний аналіз

Полівініл хлорид Глюкоза 5% 1 UI/ml 20°C-25°C Не визначено
365 День
1291
Біологічний аналіз

Полівініл хлорид Глюкоза 5% 10 UI/ml 20°C-25°C Не визначено
365 День
1291
Біологічний аналіз

Поліетилен Натрію хлорид 0,9% 7 UI/ml 22°C Берегти від світла
24 годину
1067
Рівень доказовості C

Поліетилен Натрію хлорид 0,9% 7 UI/ml 4°C Берегти від світла
24 годину
1067
Рівень доказовості C

Поліетилен Глюкоза 5% 7 UI/ml 22°C Берегти від світла
24 годину
1067
Рівень доказовості C

Поліетилен Глюкоза 5% 7 UI/ml 4°C Берегти від світла
24 годину
1067
Рівень доказовості C

Поліпропіленовий шприц Натрію хлорид 0,9% 1 UI/ml 20°C Не визначено
365 День
1234
Біологічний аналіз

Поліпропіленовий шприц Натрію хлорид 0,9% 1 UI/ml 37°C Не визначено
365 День
1234
Біологічний аналіз

Поліпропіленовий шприц Натрію хлорид 0,9% 100 UI/ml 4°C Берегти від світла
14 День
895
Біологічний аналіз

Поліпропіленовий шприц Натрію хлорид 0,9% 500 UI/ml 25°C Берегти від світла
21 День
1183
Біологічний аналіз

Поліпропіленовий шприц Натрію хлорид 0,9% 500 UI/ml 4°C Берегти від світла
21 День
1183
Біологічний аналіз

Поліпропіленовий шприц Жодного 1000 & 40000 UI/ml 30°C Не визначено
30 День
874
Рівень доказовості B

Не визначено Натрію хлорид 0,9% 5 UI/ml 4°C Берегти від світла
28 День
791
Біологічний аналіз


  Mentions Légales