Последно актуализиране :
27/01/2026
Антикоагулант   Heparin sodium  
Инжекция/Инжекционен
Стабилност на разтвори Стабилност на смеси Фактори, повлияващи стабилността Съвместимост Път на въвеждане Библиография Pdf
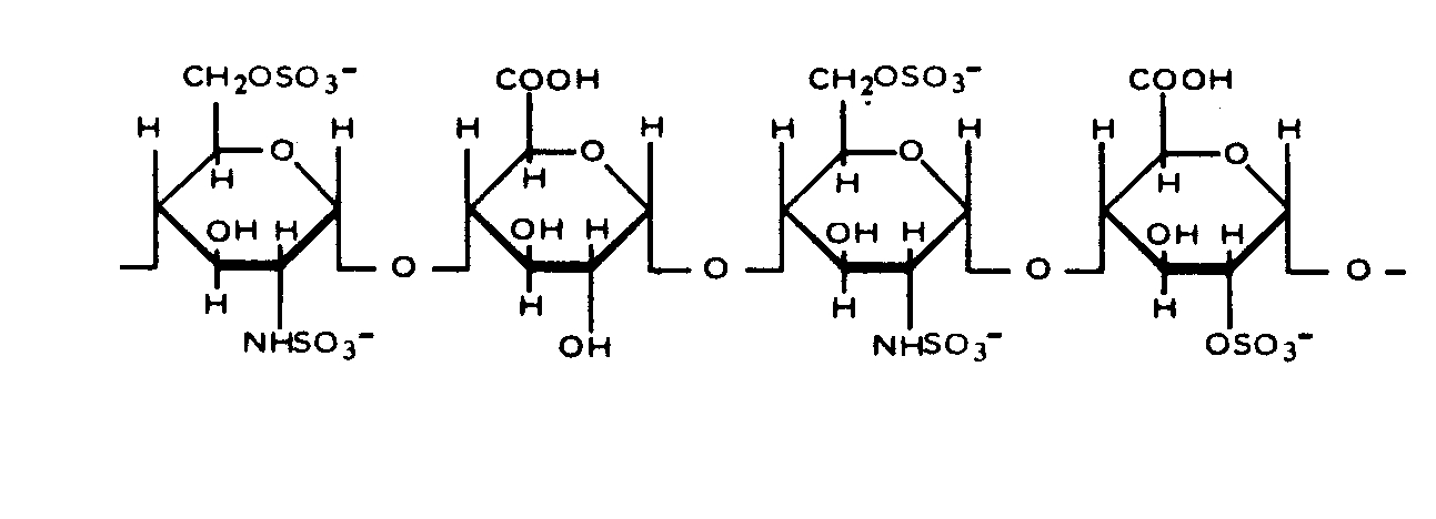
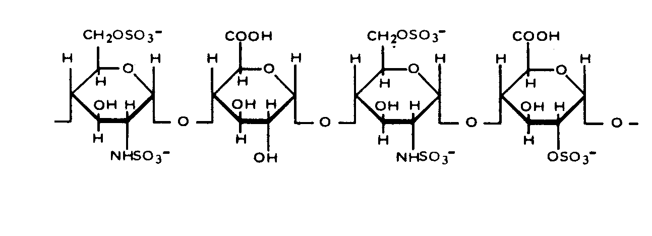
   Химична структура  

Търговско наименование   Търговско наименование     

Търговските имена са примерни и съставът на помощните вещества може да бъде различен в зависимост от държавата и лабораториите

Arapin Чили
Ateroclar Италия
Clarisco Италия
Epsoclar Италия
Hepaflex Норвегия, Финландия
Hepamax Еквадор, Колумбия, Чили
Heparin Австрия, Великобритания, Гърция, Дания, Канада, Норвегия, Русия, Съединени Американски щати / САЩ, Сърбия, Тайланд, Турция, Унгария, Финландия, Холандия, Швейцария, Швеция, Южноафриканска република / ЮАР
Heparine Белгия, Франция
Heparinised Австралия
Heparstad Германия
Liquemin Турция, Швейцария
Liquemine Бразилия
Monoparin Саудитска Арабия
Normoparin Италия
Nuparin Еквадор
Pharepa Италия
Riveparin Аржентина
Sobrius Аржентина, Еквадор
Thrombophob Германия
Стабилност на разтвори   Инжекция/Инжекционен   Стабилност на разтвори : Heparin sodium     
Контейнер Разтворител Концентрация Температура Съхранение Продължителност на стабилността Библиография
Стъкло Sodium chloride 0,9% 1 UI/ml 25°C Светлина
365 Ден
4166
Биологичен анализ

Поливинил хлорид Sodium chloride 0,9% 1 UI/ml 20°C-25°C Не е уточнено
365 Ден
1291
Биологичен анализ

Поливинил хлорид Glucose 5% 1 UI/ml 20°C-25°C Не е уточнено
365 Ден
1291
Биологичен анализ

Поливинил хлорид Glucose 5% 10 UI/ml 20°C-25°C Не е уточнено
365 Ден
1291
Биологичен анализ

Полиетилен Sodium chloride 0,9% 7 UI/ml 22°C Защита от светлина
24 Час
1067
Степен на доказаност C

Полиетилен Sodium chloride 0,9% 7 UI/ml 4°C Защита от светлина
24 Час
1067
Степен на доказаност C

Полиетилен Glucose 5% 7 UI/ml 22°C Защита от светлина
24 Час
1067
Степен на доказаност C

Полиетилен Glucose 5% 7 UI/ml 4°C Защита от светлина
24 Час
1067
Степен на доказаност C

шприц полипропилен Sodium chloride 0,9% 1 UI/ml 20°C Не е уточнено
365 Ден
1234
Биологичен анализ

шприц полипропилен Sodium chloride 0,9% 1 UI/ml 37°C Не е уточнено
365 Ден
1234
Биологичен анализ

шприц полипропилен Sodium chloride 0,9% 100 UI/ml 4°C Защита от светлина
14 Ден
895
Биологичен анализ

шприц полипропилен Sodium chloride 0,9% 500 UI/ml 25°C Защита от светлина
21 Ден
1183
Биологичен анализ

шприц полипропилен Sodium chloride 0,9% 500 UI/ml 4°C Защита от светлина
21 Ден
1183
Биологичен анализ

шприц полипропилен Няма 1000 & 40000 UI/ml 30°C Не е уточнено
30 Ден
874
Степен на доказаност B

Не е уточнено Sodium chloride 0,9% 5 UI/ml 4°C Защита от светлина
28 Ден
791
Биологичен анализ


  Mentions Légales