Son güncelleme :
27/01/2026
Antikoagülan   Heparin sodium  
Enjeksiyon
Çözeltilerin stabilitesi Karışımlardaki stabilitesi Stabiliteyi etkileyen faktörler Uyumluluk Uygulama yöntemi Kaynaklar pdf
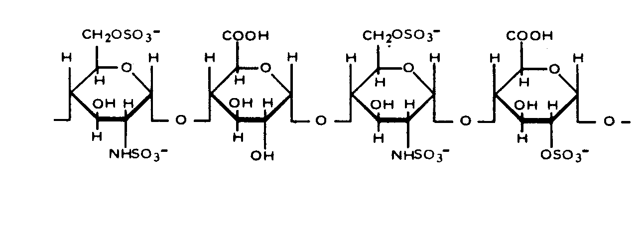
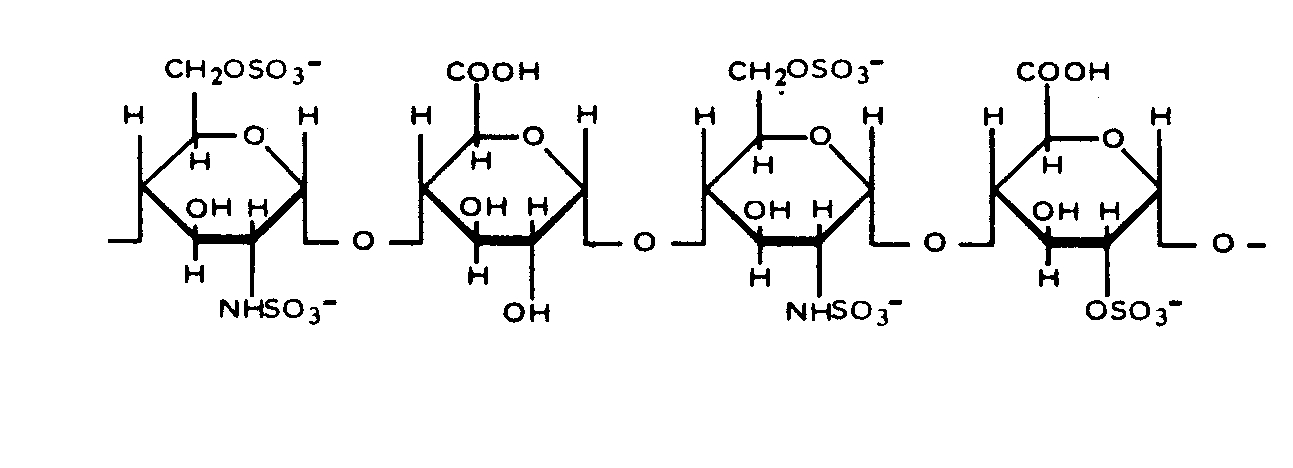
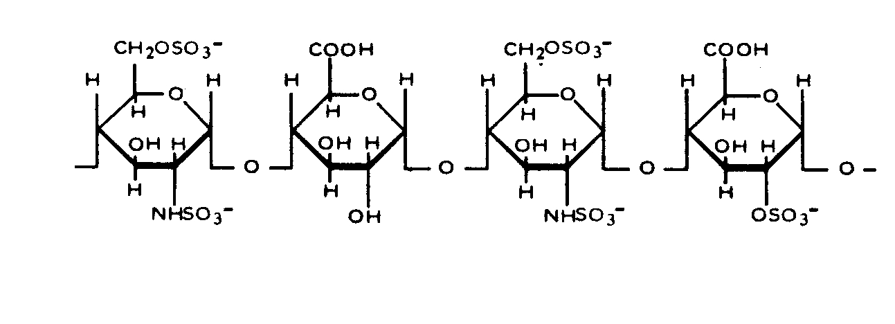
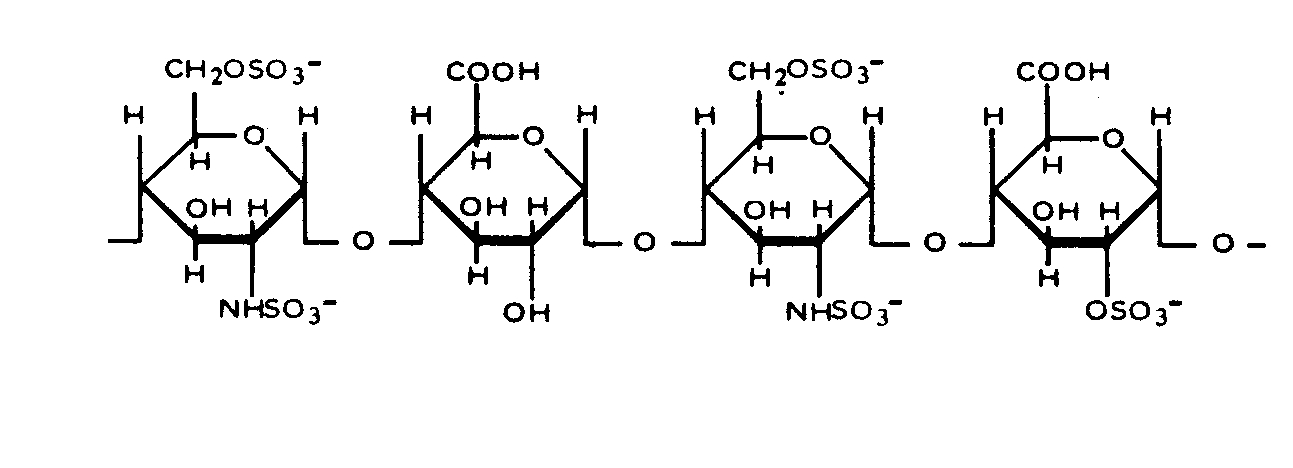
   Kimyasal yapı   

Ticari isim   Ticari isim     

Trade names are indicative and excipients composition can be different depending on the country and manufacturers

Arapin Şili
Ateroclar İtalya
Clarisco İtalya
Epsoclar İtalya
Hepaflex Finlandiya, Norveç
Hepamax Ekvador, Kolombiya, Şili
Heparin Amerika Birleşik Devletleri, Avusturya, Büyük Britanya, Danimarka, Finlandiya, Güney Afrika Cumhuriyeti, Hollanda, İsveç, İsviçre, Kanada, Macaristan, Norveç, rusça, Tayland, Türkiye, Yugoslavya, Yunanistan
Heparine Belçika, Fransa
Heparinised Avustralya
Heparstad Almanya
Liquemin İsviçre, Türkiye
Liquemine Brezilya
Monoparin Suudi Arabistan
Normoparin İtalya
Nuparin Ekvador
Pharepa İtalya
Riveparin Arjantin
Sobrius Arjantin, Ekvador
Thrombophob Almanya
Çözeltilerin stabilitesi   Enjeksiyon    Çözeltilerin stabilitesi : Heparin sodium     
Saklama kabı Çözücü Konsantrasyon Isı Saklama    Stabilite süresi Kaynaklar
Cam Sodyum klorür % 0,9 1 UI/ml 25°C I_ık
365 Gün
4166
biyolojik analiz

Polivinil klorür Sodyum klorür % 0,9 1 UI/ml 20°C-25°C Belirtilmemiş
365 Gün
1291
biyolojik analiz

Polivinil klorür Glukoz %5 1 UI/ml 20°C-25°C Belirtilmemiş
365 Gün
1291
biyolojik analiz

Polivinil klorür Glukoz %5 10 UI/ml 20°C-25°C Belirtilmemiş
365 Gün
1291
biyolojik analiz

Polietilen Sodyum klorür % 0,9 7 UI/ml 22°C Işıktan koruyunuz
24 Zaman
1067
Kanıt düzeyi C

Polietilen Sodyum klorür % 0,9 7 UI/ml 4°C Işıktan koruyunuz
24 Zaman
1067
Kanıt düzeyi C

Polietilen Glukoz %5 7 UI/ml 22°C Işıktan koruyunuz
24 Zaman
1067
Kanıt düzeyi C

Polietilen Glukoz %5 7 UI/ml 4°C Işıktan koruyunuz
24 Zaman
1067
Kanıt düzeyi C

Şırınga polipropilen Sodyum klorür % 0,9 1 UI/ml 20°C Belirtilmemiş
365 Gün
1234
biyolojik analiz

Şırınga polipropilen Sodyum klorür % 0,9 1 UI/ml 37°C Belirtilmemiş
365 Gün
1234
biyolojik analiz

Şırınga polipropilen Sodyum klorür % 0,9 100 UI/ml 4°C Işıktan koruyunuz
14 Gün
895
biyolojik analiz

Şırınga polipropilen Sodyum klorür % 0,9 500 UI/ml 25°C Işıktan koruyunuz
21 Gün
1183
biyolojik analiz

Şırınga polipropilen Sodyum klorür % 0,9 500 UI/ml 4°C Işıktan koruyunuz
21 Gün
1183
biyolojik analiz

Şırınga polipropilen Yok 1000 & 40000 UI/ml 30°C Belirtilmemiş
30 Gün
874
Kanıt düzeyi B

Belirtilmemiş Sodyum klorür % 0,9 5 UI/ml 4°C Işıktan koruyunuz
28 Gün
791
biyolojik analiz


  Mentions Légales