Zadnji put ažurirano :
18/03/2026
antikoagulant   Heparin sodium  
injekcija
Stabilizacija rješenja Stabilnost mješavine Stabilizacijski faktor Kompatibilnosti način davanja lijeka Bibliografija pdf
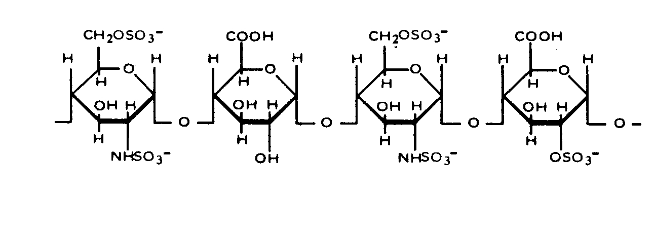
   Kemijska struktura  

Nekomercijalni   Nekomercijalni     

Zaštićeni nazivi su indikativni i sastav ekscipijensa može biti različit ovisno o državi i laboratorijima

Arapin Čile
Ateroclar Italija
Clarisco Italija
Epsoclar Italija
Hepaflex Finska, Norveška
Hepamax Čile, Ekvador, Kolumbija
Heparin Austrija, Danska, Finska, Grčka, Jugoslavija, Južna Afrika, Kanada, Madžarska, Nizozemska, Norveška, ruski, S A D, Švedska, Švicarska, Tajland, Turska, Velika Britanija
Heparine Belgija, Francuska
Heparinised Australija
Heparstad Njemačka
Liquemin Švicarska, Turska
Liquemine Brazil
Monoparin Saudijska Arabija
Normoparin Italija
Nuparin Ekvador
Pharepa Italija
Riveparin Argentina
Sobrius Argentina, Ekvador
Thrombophob Njemačka
Stabilizacija rješenja   injekcija   Stabilizacija rješenja : Heparin sodium     
Kontejner sredstvo za rastapanje koncentracija temperatura Konzerviranje Trajanje stabilnosti Bibliografija
čaša natrijumkorid 0,9% 1 UI/ml 25°C svjetlost
365 dan
4166
Biološka metoda

polivinilklorid natrijumkorid 0,9% 1 UI/ml 20°C-25°C nespecifičan
365 dan
1291
Biološka metoda

polivinilklorid glukoza 5% 1 UI/ml 20°C-25°C nespecifičan
365 dan
1291
Biološka metoda

polivinilklorid glukoza 5% 10 UI/ml 20°C-25°C nespecifičan
365 dan
1291
Biološka metoda

polietilen natrijumkorid 0,9% 7 UI/ml 22°C Zaštićeno od svjetlosti
24 sat
1067
Razina dokaza C

polietilen natrijumkorid 0,9% 7 UI/ml 4°C Zaštićeno od svjetlosti
24 sat
1067
Razina dokaza C

polietilen glukoza 5% 7 UI/ml 22°C Zaštićeno od svjetlosti
24 sat
1067
Razina dokaza C

polietilen glukoza 5% 7 UI/ml 4°C Zaštićeno od svjetlosti
24 sat
1067
Razina dokaza C

špric polipropilen natrijumkorid 0,9% 1 UI/ml 20°C nespecifičan
365 dan
1234
Biološka metoda

špric polipropilen natrijumkorid 0,9% 1 UI/ml 37°C nespecifičan
365 dan
1234
Biološka metoda

špric polipropilen natrijumkorid 0,9% 100 UI/ml 4°C Zaštićeno od svjetlosti
14 dan
895
Biološka metoda

špric polipropilen natrijumkorid 0,9% 500 UI/ml 25°C Zaštićeno od svjetlosti
21 dan
1183
Biološka metoda

špric polipropilen natrijumkorid 0,9% 500 UI/ml 4°C Zaštićeno od svjetlosti
21 dan
1183
Biološka metoda

špric polipropilen nijedan 1000 & 40000 UI/ml 30°C nespecifičan
30 dan
874
Razina dokaza B

nespecifičan natrijumkorid 0,9% 5 UI/ml 4°C Zaštićeno od svjetlosti
28 dan
791
Biološka metoda


  Mentions Légales