Viimeisin päivitys :
18/03/2026
Antikoagulantit   Heparin sodium  
Injektioneste
Stabilius liuoksessa Stabilius seoksissa Tekijät, jotka vaikuttavat stabiliuteen Yhteensopivuus Antotapa Viitteet pdf
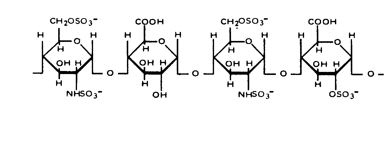
   Kemiallinen rakenne  

Kauppanimi   Kauppanimi     

Trade names are indicative and excipients composition can be different depending on the country and manufacturers

Arapin Chile
Ateroclar Italia
Clarisco Italia
Epsoclar Italia
Hepaflex Norja, Suomi
Hepamax Chile, Ecuador, Kolumbia
Heparin Etelä-Afrikka, Hollanti, Iso-Britannia, Itävalta, Jugoslavia, Kanada, Kreikka, Norja, Ruotsi, Suomi, Sveitsi, Tanska, Thaimaa, Turkki, Unkari, venäjä, Yhdysvallat
Heparine Belgia, Ranska
Heparinised Australia
Heparstad Saksa
Liquemin Sveitsi, Turkki
Liquemine Brasilia
Monoparin Saudi-Arabia
Normoparin Italia
Nuparin Ecuador
Pharepa Italia
Riveparin Argentiina
Sobrius Argentiina, Ecuador
Thrombophob Saksa
Stabilius liuoksessa   Injektioneste   Stabilius liuoksessa : Heparin sodium     
Astia Liuotin Konsentraatio Lämpötila Säilytys Vakauden kesto Viitteet
Lasi Natriumkloridi 0,9% 1 UI/ml 25°C Valo
365 Päivä
4166
Biologinen menetelmä

Polyvinyylikloridi Natriumkloridi 0,9% 1 UI/ml 20°C-25°C Ei määritetty
365 Päivä
1291
Biologinen menetelmä

Polyvinyylikloridi Glukoosi 5% 1 UI/ml 20°C-25°C Ei määritetty
365 Päivä
1291
Biologinen menetelmä

Polyvinyylikloridi Glukoosi 5% 10 UI/ml 20°C-25°C Ei määritetty
365 Päivä
1291
Biologinen menetelmä

Polyetyleeni Natriumkloridi 0,9% 7 UI/ml 22°C Suojattava valolta
24 tunti
1067
Näytön laajuus C

Polyetyleeni Natriumkloridi 0,9% 7 UI/ml 4°C Suojattava valolta
24 tunti
1067
Näytön laajuus C

Polyetyleeni Glukoosi 5% 7 UI/ml 22°C Suojattava valolta
24 tunti
1067
Näytön laajuus C

Polyetyleeni Glukoosi 5% 7 UI/ml 4°C Suojattava valolta
24 tunti
1067
Näytön laajuus C

Ruisku  polypropeeni Natriumkloridi 0,9% 1 UI/ml 20°C Ei määritetty
365 Päivä
1234
Biologinen menetelmä

Ruisku  polypropeeni Natriumkloridi 0,9% 1 UI/ml 37°C Ei määritetty
365 Päivä
1234
Biologinen menetelmä

Ruisku  polypropeeni Natriumkloridi 0,9% 100 UI/ml 4°C Suojattava valolta
14 Päivä
895
Biologinen menetelmä

Ruisku  polypropeeni Natriumkloridi 0,9% 500 UI/ml 25°C Suojattava valolta
21 Päivä
1183
Biologinen menetelmä

Ruisku  polypropeeni Natriumkloridi 0,9% 500 UI/ml 4°C Suojattava valolta
21 Päivä
1183
Biologinen menetelmä

Ruisku  polypropeeni Ei mikään 1000 & 40000 UI/ml 30°C Ei määritetty
30 Päivä
874
Näytön laajuus B

Ei määritetty Natriumkloridi 0,9% 5 UI/ml 4°C Suojattava valolta
28 Päivä
791
Biologinen menetelmä


  Mentions Légales