Senaste uppdateringen :
27/01/2026
Antikoagulans   Heparin sodium  
injektion
Lösningars stabilitet Stabilitet i blandningar Faktorer som påverkar stabiliteten Kompatibilitet Administreringssätt Hänvisningar pdf
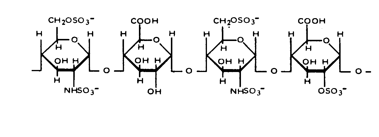
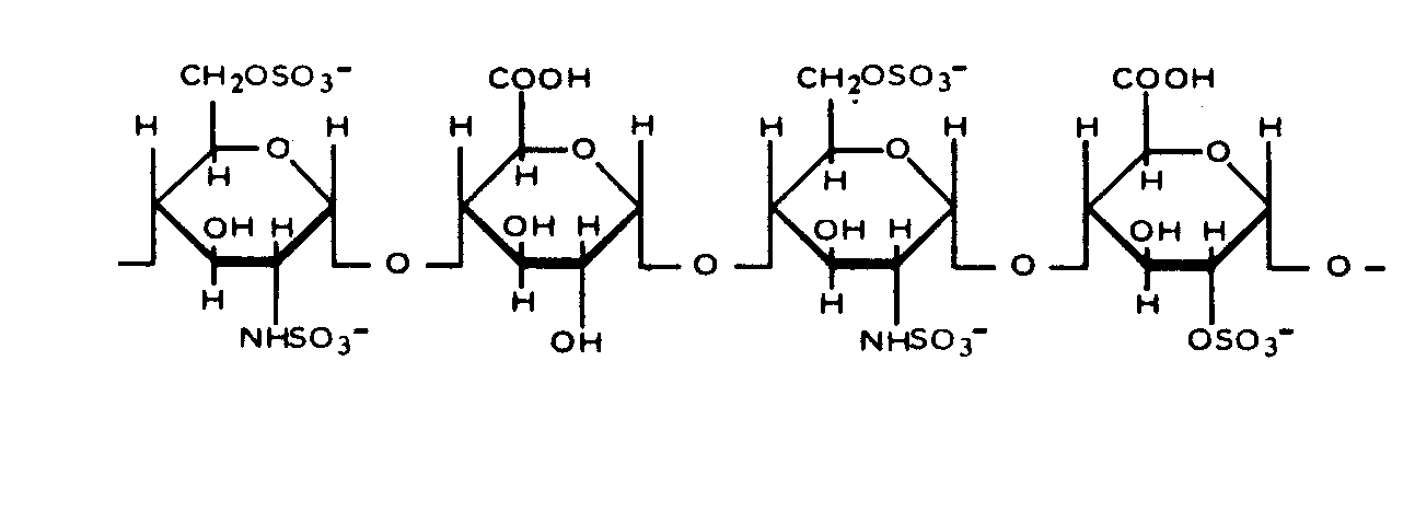
   Molekylstruktur  

Varunamn   Varunamn     

Angivna handelsnamn på läkemedel är enbart vägledande då formulering inklusive hjälpämnen kan variera mellan länder och tillverkare

Arapin Chile
Ateroclar Italien
Clarisco Italien
Epsoclar Italien
Hepaflex Finland, Norge
Hepamax Chile, Colombia, Ecuador
Heparin Danmark, Finland, Förenta Staterna, Grekland, Jugoslavien, Kanada, Nederländerna, Norge, Österrike, ryska, Schweiz, Storbritannien, Sverige, Sydafrikanska republiken, Thailand, Turkiet, Ungern
Heparine Belgien, Frankrike
Heparinised Australien
Heparstad Tyskland
Liquemin Schweiz, Turkiet
Liquemine Brasilien
Monoparin Saudi-Arabien
Normoparin Italien
Nuparin Ecuador
Pharepa Italien
Riveparin Argentina
Sobrius Argentina, Ecuador
Thrombophob Tyskland

Faktorer som påverkar stabiliteten   injektion   Faktorer som påverkar stabiliteten : Heparin sodium        

  Mentions Légales