Τελευταία ενημέρωση :
27/01/2026
Αντιπηκτικό   Heparin sodium  
Ενέσιμο
Σταθερότητα διαλυμάτων Σταθερότητα σε μίγματα Παράγοντας που επηρεάζει τη σταθερότητα Συμβατότητες Τρόπος χορήγησης Βιβλιογραφία pdf
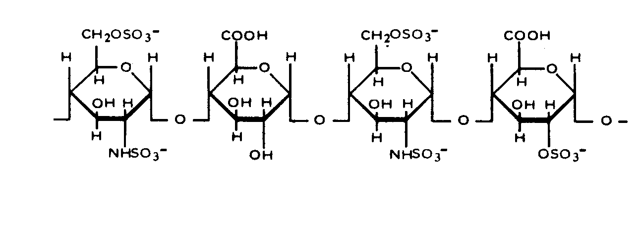
   χημική δομή  

Εμπορική ονομασία   Εμπορική ονομασία     

Οι εμπορικές ονομασίες είναι ενδεικτικές και η σύνθεση των εκδόχων μπορεί να διαφέρει ανάλογα με τη χώρα και τα εργαστήρια

Arapin Χιλή
Ateroclar Ιταλία
Clarisco Ιταλία
Epsoclar Ιταλία
Hepaflex Νορβηγία, Φινλανδία
Hepamax Εκουαδόρ, Κολομβία, Χιλή
Heparin Αυστρία, Γιουγκοσλαβία, Δανία, Ελβετία, Ελλάδα, Η.Π.Α., Καναδάς, Μεγάλη Βρετανία, Νορβηγία, Νότιος Αφρική, Ολλανδία, Ουγγαρία, Ρωσικά, Σουηδία, Ταϊλάνδη, Τουρκία, Φινλανδία
Heparine Βέλγιο, Γαλλία
Heparinised Αυστραλία
Heparstad Γερμανία
Liquemin Ελβετία, Τουρκία
Liquemine Βραζιλία
Monoparin Σαουδική Αραβία
Normoparin Ιταλία
Nuparin Εκουαδόρ
Pharepa Ιταλία
Riveparin Αργεντινή
Sobrius Αργεντινή, Εκουαδόρ
Thrombophob Γερμανία

Παράγοντας που επηρεάζει τη σταθερότητα   Ενέσιμο   Παράγοντας που επηρεάζει τη σταθερότητα : Heparin sodium        

  Mentions Légales