Laatste update :
27/01/2026
Anticoagulans   Heparin sodium  
injecteerbaar geneesmiddel
Stabiliteit in oplossing Stabiliteit in mengsels Factoren die de stabiliteit beïnvloeden Verenigbaarheden Toedieningswijze Literatuur pdf
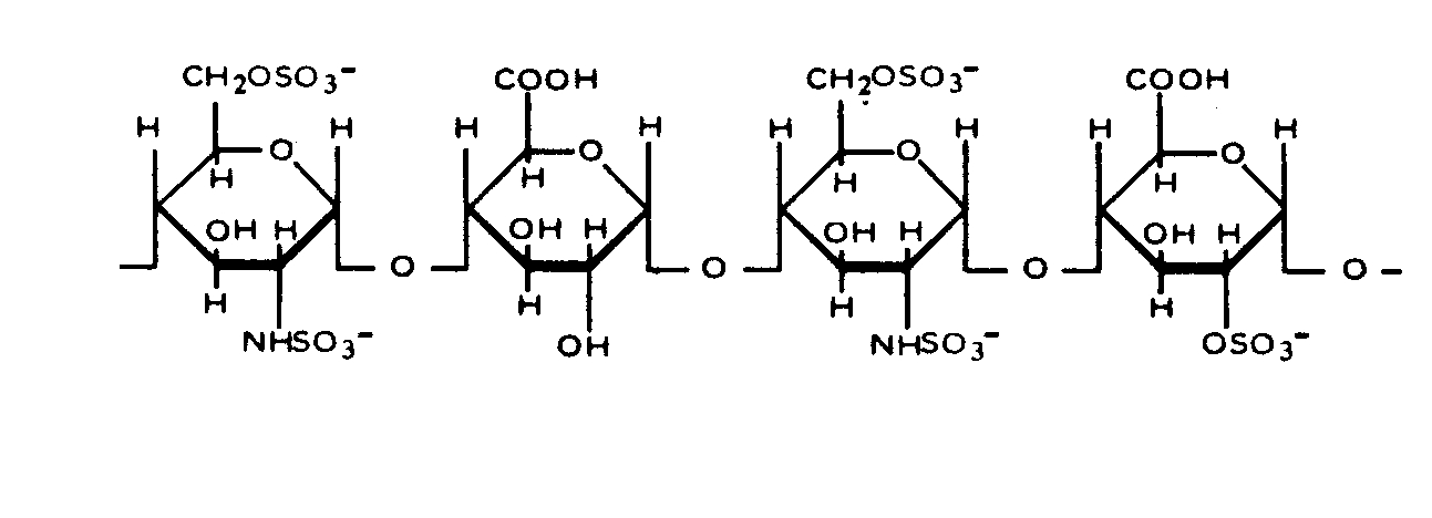
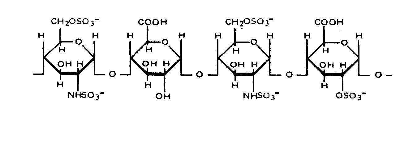
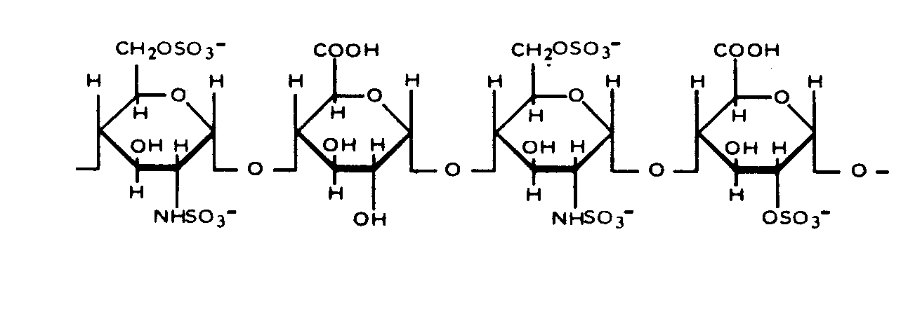
   Molecuulstructuur  

Merknamen in verschillende landen   Merknamen in verschillende landen     

Handelsnamen zijn slechts een indicatie; de samenstelling van hulpstoffen kan per land variëren afhankelijk van de fabrikant

Arapin Chili
Ateroclar Italië
Clarisco Italië
Epsoclar Italië
Hepaflex Finland, Noorwegen
Hepamax Chili, Colombia, Ecuador
Heparin Canada, Denemarken, Finland, Griekenland, Groot Britannië, Hongarije, Joegoslavië, Nederland, Noorwegen, Oostenrijk, russisch, Thailand, Turkije, USA, Zuid-Afrika, Zweden, Zwitserland
Heparine België, Frankrijk
Heparinised Australië
Heparstad Duitsland
Liquemin Turkije, Zwitserland
Liquemine Brazilië
Monoparin Saudi-Arabië
Normoparin Italië
Nuparin Ecuador
Pharepa Italië
Riveparin Argentinië
Sobrius Argentinië, Ecuador
Thrombophob Duitsland

Factoren die de stabiliteit beïnvloeden   injecteerbaar geneesmiddel   Factoren die de stabiliteit beïnvloeden : Heparin sodium        

  Mentions Légales