آخر تحديث :
27/01/2026
  مضاد للتخثر   Heparin sodium  
حقن
الاستقرار في حلول استقرار مخاليط العوامل التي تؤثر على الاستقرار التوافق طريقة التعاطي مراجع pdf
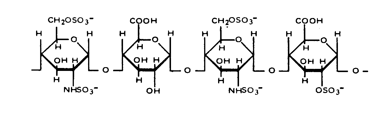
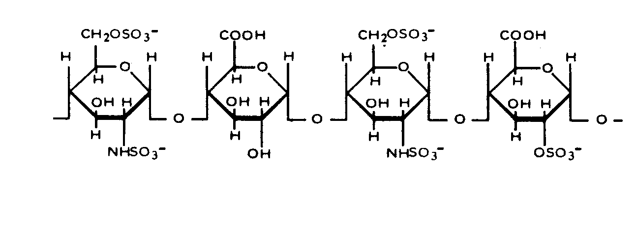
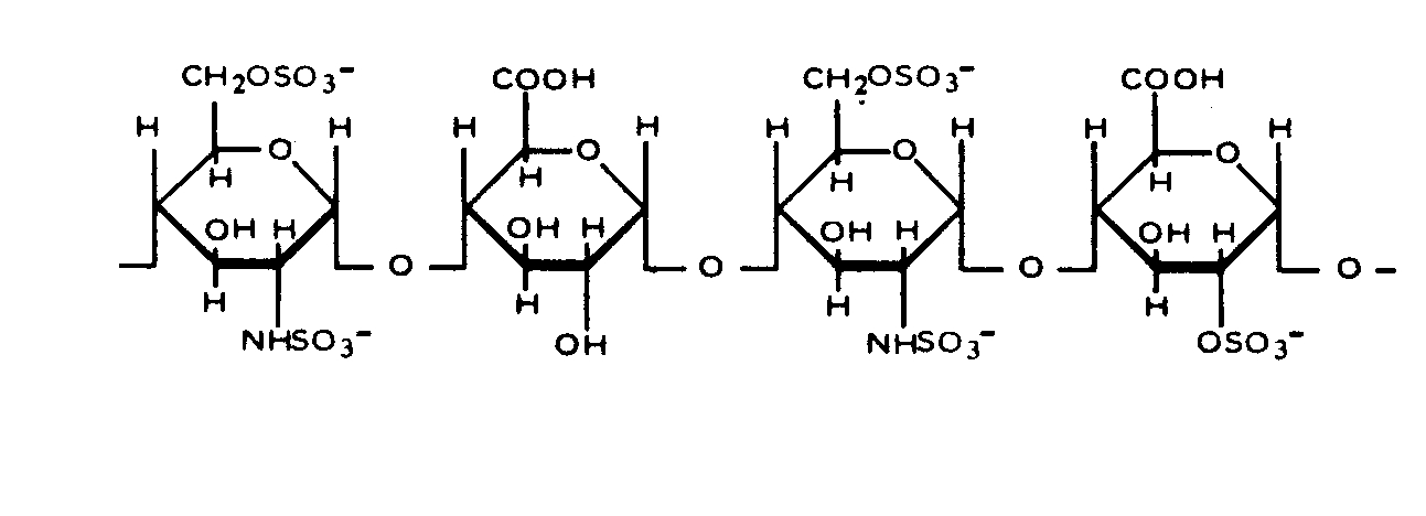
   التركيب الكيميائي  

حجز الاسم التجاري   حجز الاسم التجاري     

تحذير الأسماء التجاريه المختلفه قد تحتوي علي محتوي إضافات مختلفة حسب الدوله و المعمل

Arapin تشيلي
Ateroclar إيطاليا
Clarisco إيطاليا
Epsoclar إيطاليا
Hepaflex النرويج, فنلندا
Hepamax الإكوادور, تشيلي, كولومبيا
Heparin الدنمارك, الروسية, السويد, النرويج, النمسا, الولايات المتحدة, بريطانيا العظمي, تايلاند, تركيا, جمهورية جنوب أفريقيا, سويسرا, صربيا, فنلندا, كندا, هنغاريا, هولندا, يونان
Heparine بلجيكا, فرنسا
Heparinised أستراليا
Heparstad ألمانيا
Liquemin تركيا, سويسرا
Liquemine البرازيل
Monoparin العربية السعودية
Normoparin إيطاليا
Nuparin الإكوادور
Pharepa إيطاليا
Riveparin الأرجنتين
Sobrius الأرجنتين, الإكوادور
Thrombophob ألمانيا

العوامل التي تؤثر على الاستقرار   حقن   العوامل التي تؤثر على الاستقرار : Heparin sodium        

  Mentions Légales