最新更新 :
27/01/2026
抗凝血药   Heparin sodium  
注射液
溶液稳定性 混合物稳定性 影响稳定性的因素 兼容性 用药途径 引用文献 PDF
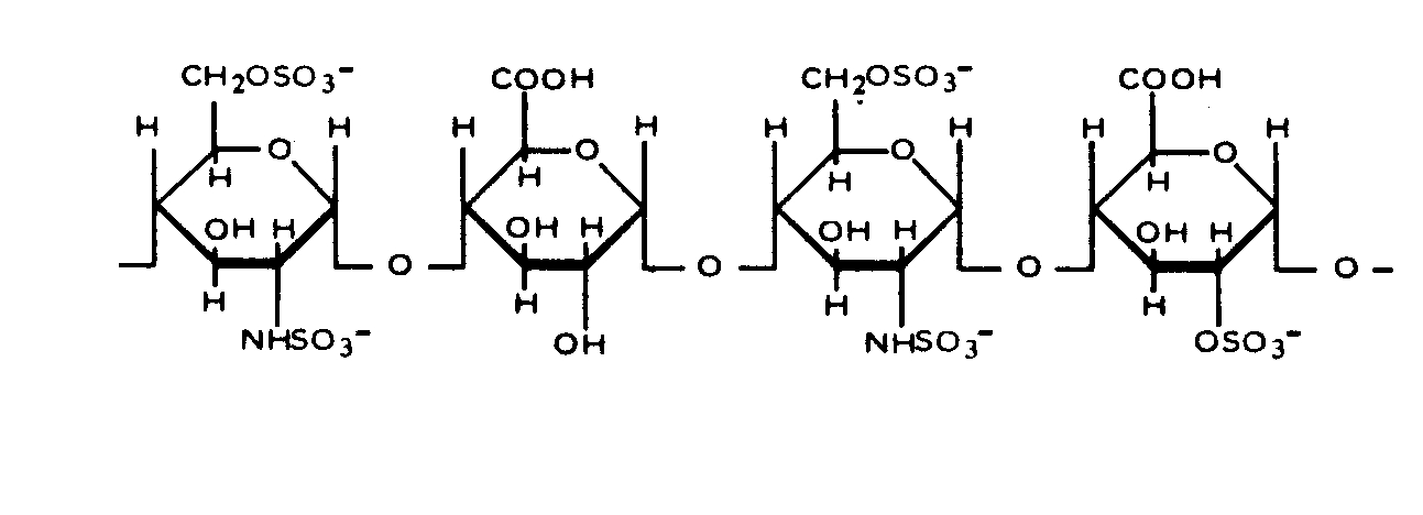
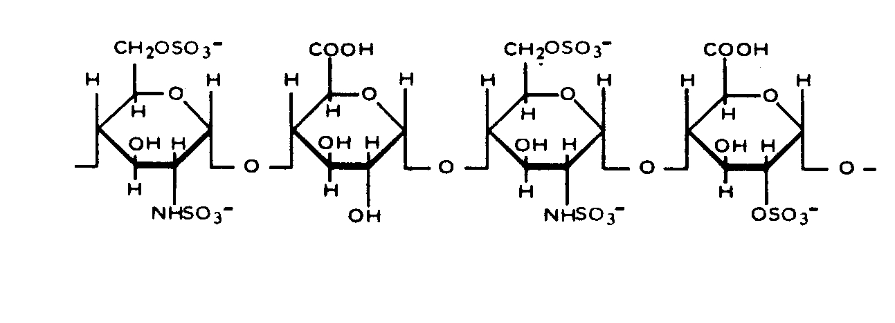
   化学式  

商品名   商品名     

商品名仅供参考, 药品所用的辅料可能依国家或厂商不同有所不同。

Arapin 智利
Ateroclar 意大利
Clarisco 意大利
Epsoclar 意大利
Hepaflex 挪威, 芬兰
Hepamax 厄瓜多尔, 哥伦比亚, 智利
Heparin 丹麦, 俄罗斯, 加拿大, 匈牙利, 南非, 土耳其, 塞尔维亚, 奥地利, 希腊, 挪威, 泰国, 瑞典, 瑞士, 美国, 芬兰, 英国, 荷兰
Heparine 比利时, 法国
Heparinised 澳大利亚
Heparstad 德国
Liquemin 土耳其, 瑞士
Liquemine 巴西
Monoparin 沙特阿拉伯
Normoparin 意大利
Nuparin 厄瓜多尔
Pharepa 意大利
Riveparin 阿根廷
Sobrius 厄瓜多尔, 阿根廷
Thrombophob 德国

影响稳定性的因素   注射液   影响稳定性的因素 : Heparin sodium        

  Mentions Légales