Utolsó frissítés :
27/01/2026
Véralvadásgátló   Heparin sodium  
Injekció
Az oldatok stabilitása A keverékek stabilitása Stabilitást befolyásoló tényezők Kompatibilitás Az alkalmazás módja Irodalom pdf
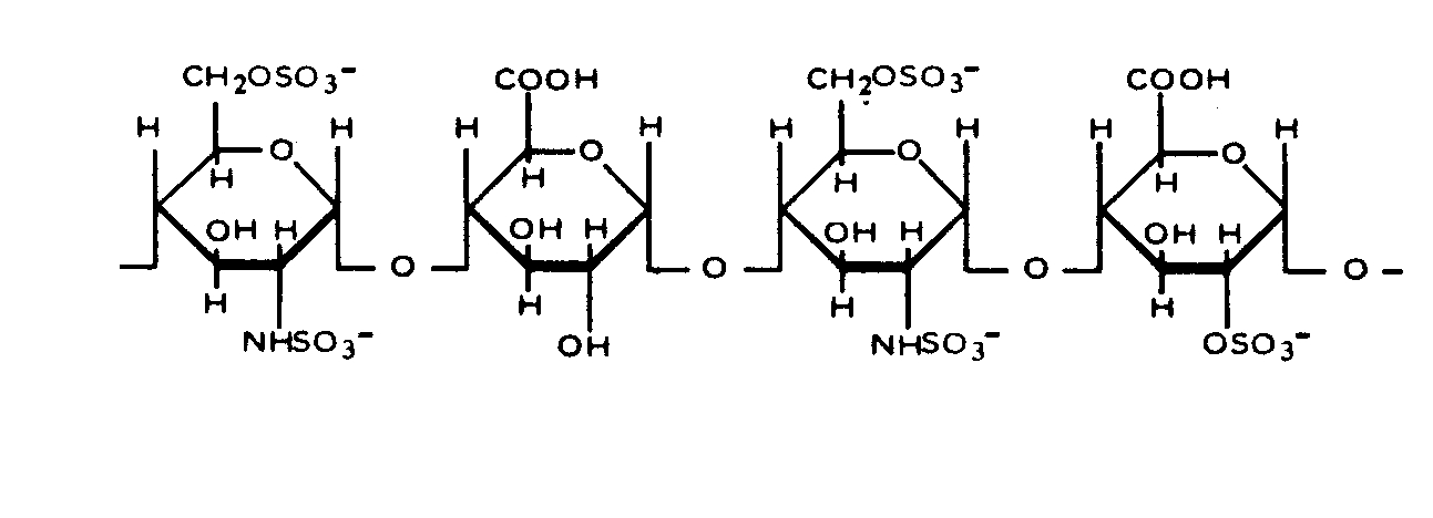
   Kémiai szerkezet   

Kereskedelmi név   Kereskedelmi név     

A kereskedelmi név meghatározó jelentőségű: a készítmények összetétele országonként, előállítóként eltérő lehet

Arapin Chile
Ateroclar Olaszország
Clarisco Olaszország
Epsoclar Olaszország
Hepaflex Finnország, Norvégia
Hepamax Chile, Colombia, Ecuador
Heparin Amerikai Egyesült Államok, Ausztria, Dánia, Dél-Afrikai Köztársaság, Finnország, Görögország, Hollandia, Jugoszlávia, Kanada, Magyarország, Nagy-Britannia, Norvégia, orosz, Svájc, Svédország, Thaiföld, Törökország
Heparine Belgium, Franciaország
Heparinised Ausztrália
Heparstad Németország
Liquemin Svájc, Törökország
Liquemine Brazília
Monoparin Szaúd-Arábiában
Normoparin Olaszország
Nuparin Ecuador
Pharepa Olaszország
Riveparin Argentína
Sobrius Argentína, Ecuador
Thrombophob Németország

Stabilitást befolyásoló tényezők   Injekció   Stabilitást befolyásoló tényezők : Heparin sodium        

  Mentions Légales