Posledná aktualizácia :
27/01/2026
antikoagulans   Heparin sodium  
Injekcia
Stabilita roztokov Stabilita v zmesiach Faktory ovplyvňujúce stabilitu Kompatibility spôsob podania Odkazy na literatúru PDF
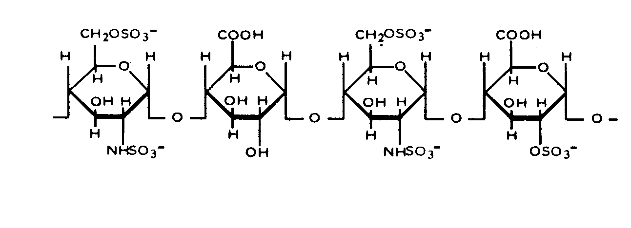
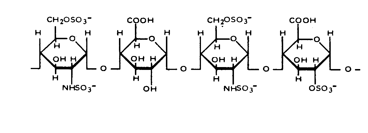
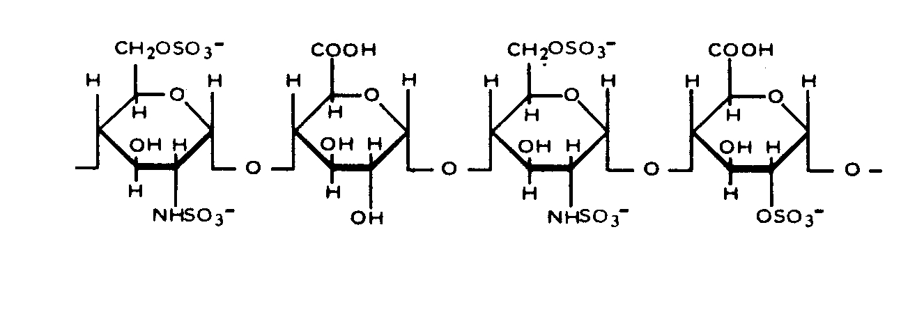
   Chemický vzorec  

Obchodný názov   Obchodný názov     

Obchodné názvy sú orientačné, a zloženie pomocných látok sa môže líšiť v závislosti od krajiny a výrobcu.

Arapin Čile
Ateroclar Taliansko
Clarisco Taliansko
Epsoclar Taliansko
Hepaflex Fínsko, Nórsko
Hepamax Čile, Ekvádor, Kolumbia
Heparin Dánsko, Fínsko, Grécko, Holandsko, Juhoafrická republika, Juhoslávia, Kanada, Maďarsko, Nórsko, Rakúsko, ruský, Spojené štáty Americké, Švajčiarsko, Švédsko, Thajsko, Turecko, Veľká Británia
Heparine Belgicko, Francúzsko
Heparinised Austrália
Heparstad Nemecko
Liquemin Švajčiarsko, Turecko
Liquemine Brazília
Monoparin Saudská Arábia
Normoparin Taliansko
Nuparin Ekvádor
Pharepa Taliansko
Riveparin Argentína
Sobrius Argentína, Ekvádor
Thrombophob Nemecko

Faktory ovplyvňujúce stabilitu   Injekcia   Faktory ovplyvňujúce stabilitu : Heparin sodium        

  Mentions Légales