Ultimele actualizari :
27/01/2026
Anticoagulant   Heparin sodium  
Injectabil
Stabilitatea in solutie Stabilitatea in amestec Factorii care influenteaza stabilitatea Compatibilitate Microunde Bibliografie pdf
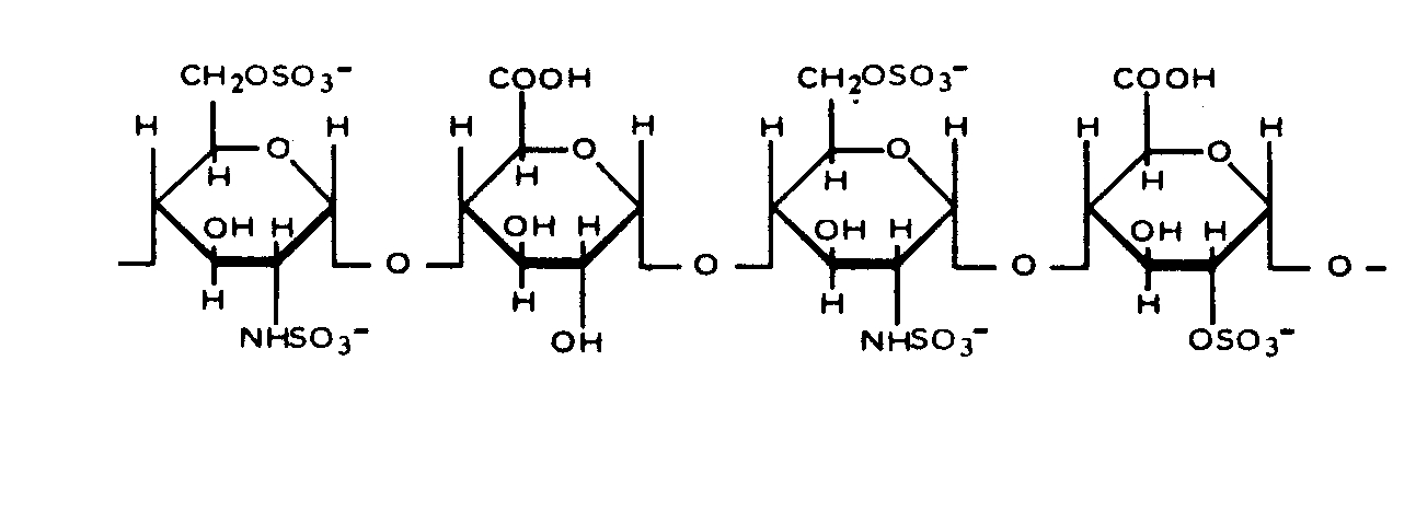
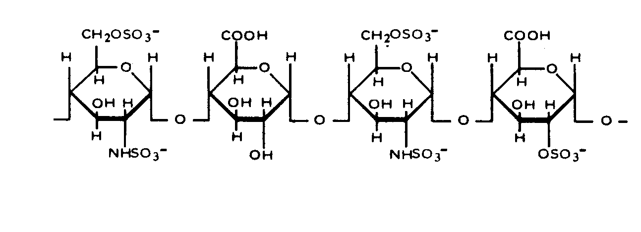
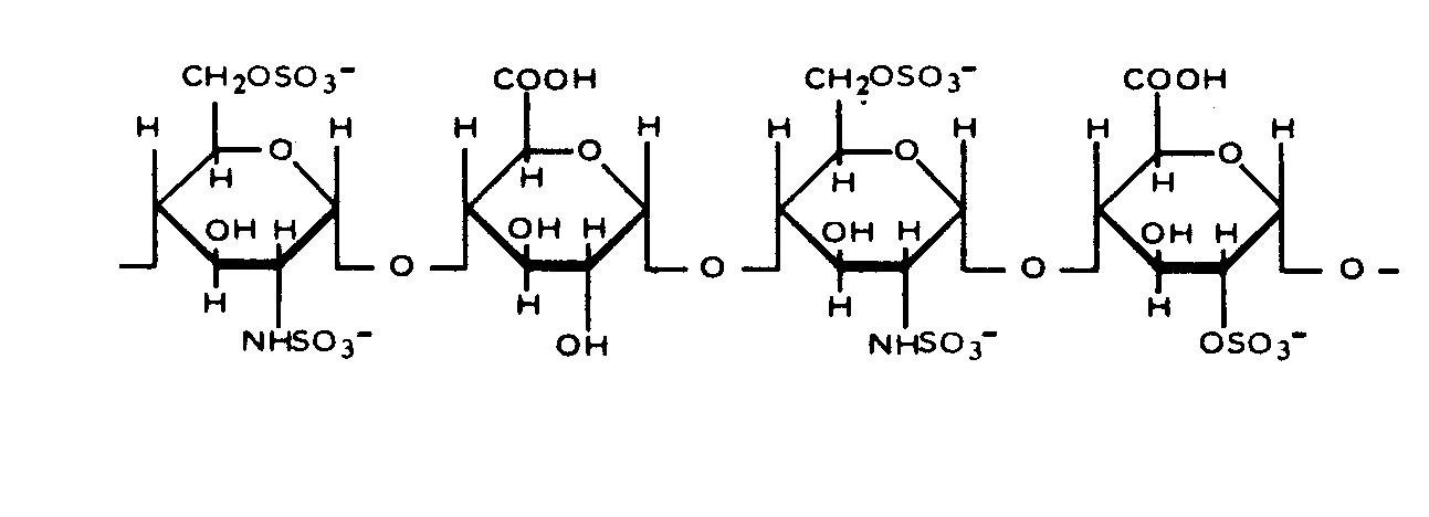
   Formula chimica  

Denumirea comerciala   Denumirea comerciala     

Trade names are indicative and excipients composition can be different depending on the country and manufacturers

Arapin Chilli
Ateroclar Italia
Clarisco Italia
Epsoclar Italia
Hepaflex Finlanda, Norvegia
Hepamax Chilli, Columbia, Ecuador
Heparin Africa de Sud, Austria, Canada, Danemarca, Elvetia, Finlanda, Grecia, Iugoslavia, Marea Britanie, Norvegia, Olanda, rusa, SUA, Suedia, Tailanda, Turcia, Ungaria
Heparine Belgia, Franta
Heparinised Australia
Heparstad Germania
Liquemin Elvetia, Turcia
Liquemine Brazilia
Monoparin Arabia Saudita
Normoparin Italia
Nuparin Ecuador
Pharepa Italia
Riveparin Argentina
Sobrius Argentina, Ecuador
Thrombophob Germania

Factorii care influenteaza stabilitatea   Injectabil   Factorii care influenteaza stabilitatea : Heparin sodium        

  Mentions Légales