Última actualização :
27/01/2026
Anticoagulante   Heparin sodium  
injetável
Estabilidade em soluções simples Estabilidade em misturas Factores que afectam a sua estabilidade Compatibilidade Método de administração Bibliografía pdf
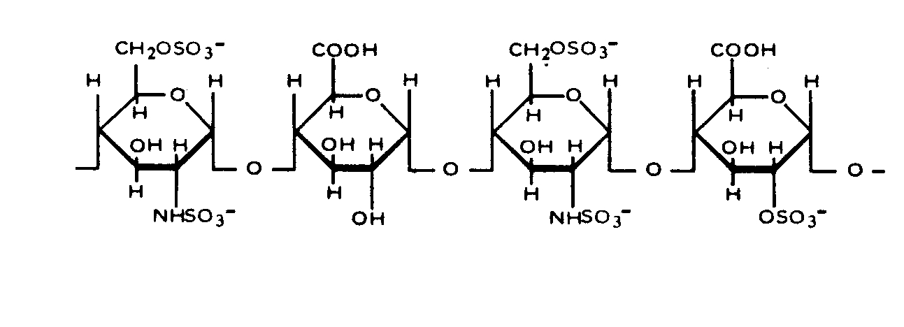
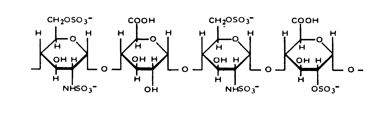
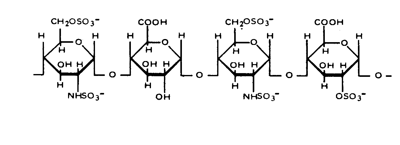
   estrutura química  

Nomes comerciais nos diversos países   Nomes comerciais nos diversos países     

OS NOMES COMERCIAIS SÃO INDICATIVOS E OS EXCIPIENTES DA FORMULAÇÃO PODEM SER DIFERENTES CONFORME O PAÍS E FABRICANTE.

Arapin Chilli
Ateroclar Itália
Clarisco Itália
Epsoclar Itália
Hepaflex Finlandia, Noruega
Hepamax Chilli, Colômbia, Equator
Heparin Africa do sul, Austria, Canadá, Dinamarca, Estados Unidos de América, Finlandia, Gran-bretanha, Grècia, Hungria, Jugoslavia, Noruega, Países Baixos, russo, Suècia, Suicia, Tailandia, Turquia
Heparine Bélgica, França
Heparinised Australia
Heparstad Alemanha
Liquemin Suicia, Turquia
Liquemine Brasil
Monoparin Arábia Saudita
Normoparin Itália
Nuparin Equator
Pharepa Itália
Riveparin Argentina
Sobrius Argentina, Equator
Thrombophob Alemanha

Factores que afectam a sua estabilidade   injetável   Factores que afectam a sua estabilidade : Heparin sodium        

  Mentions Légales