Cập nhật lần cuối :
27/04/2026
Kháng sinh   Gentamicin sulfate  
Dạng tiêm
Thuốc nhỏ mắt
Tính ổn định của các dung dịch Độ ổn định khi trộn lẫn Những yếu tố ảnh hưởng đến độ ổn định Khả năng tương thích Đường dùng Tài liệu tham khảo Pdf
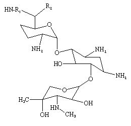
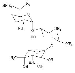
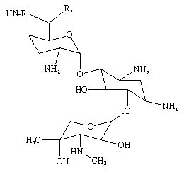
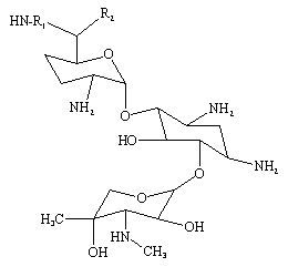
   Cấu trúc hóa học  

Tên thương mại   Tên thương mại     

Các tên thương mại được cung cấp và thành phần tá dược có thể khác nhau giữa các quốc gia và các hãng dược

Azupel Peru
Cidomycin Ả Rập, Anh, Tunisia
Dabroson Hy Lạp
Epigent Ả Rập
Garalone Bồ Đào Nha
Garamicina Brazil, Colombia, Ecuador, Mexico
Garamycin Ả Rập, Ấn Độ, Ba Lan, Croatia, Hà Lan, Hy Lạp, Na Uy, Thụy Sỹ, United Arab Emirates, Đan Mạch
Genmisin Thổ Nhĩ Kỳ
Gensif Thổ Nhĩ Kỳ
Gensumycin Na Uy, Phần Lan, Thụy Điển
Genta-Gobens Tây Ban Nha
Gentalline Morocco
Gentamen Morocco
Genticin Anh, Ireland, United Arab Emirates
Gentreks Thổ Nhĩ Kỳ
Hexamycin Đan Mạch
Plurisemina Argentina
Refobacin Ả Rập, Áo, Colombia, Đức
Rupegen Argentina

Những yếu tố ảnh hưởng đến độ ổn định   Dạng tiêm   Những yếu tố ảnh hưởng đến độ ổn định : Gentamicin sulfate        

  Mentions Légales