Posledná aktualizácia :
27/04/2026
antibiotikum   Gentamicin sulfate  
Injekcia
Očná instilácia
Stabilita roztokov Stabilita v zmesiach Faktory ovplyvňujúce stabilitu Kompatibility spôsob podania Odkazy na literatúru PDF
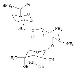
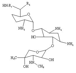
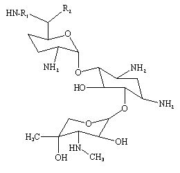
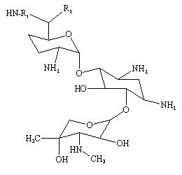
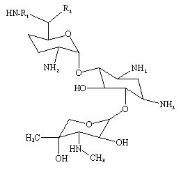
   Chemický vzorec  

Obchodný názov   Obchodný názov     

Obchodné názvy sú orientačné, a zloženie pomocných látok sa môže líšiť v závislosti od krajiny a výrobcu.

Azupel peru
Cidomycin Egypt, Tunisko, Veľká Británia
Dabroson Grécko
Epigent Egypt
Garalone Portugalsko
Garamicina Brazília, Ekvádor, Kolumbia, Mexiko
Garamycin Chorvátsko, Dánsko, Egypt, Grécko, Holandsko, India, Nórsko, Poľsko, Spojené arabské emiráty, Švajčiarsko
Genmisin Turecko
Gensif Turecko
Gensumycin Fínsko, Nórsko, Švédsko
Genta-Gobens Španielsko
Gentalline Maroko
Gentamen Maroko
Genticin Írsko, Spojené arabské emiráty, Veľká Británia
Gentreks Turecko
Hexamycin Dánsko
Plurisemina Argentína
Refobacin Egypt, Kolumbia, Nemecko, Rakúsko
Rupegen Argentína

Faktory ovplyvňujúce stabilitu   Injekcia   Faktory ovplyvňujúce stabilitu : Gentamicin sulfate        

  Mentions Légales