Последнее обновление :
27/04/2026
Антибиотик   Gentamicin sulfate  
Инъекция
Глазные капли
Стабильность растворов Стабильность смесей Факторы, которые влияют на стабильность Совместимость Способы введения Библиография pdf
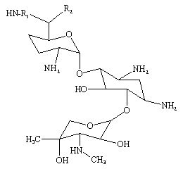
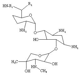
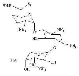
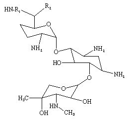
   Химическая структура  

Товарное название   Товарное название     

Trade names are indicative and excipients composition can be different depending on the country and manufacturers

Azupel Перу
Cidomycin Великобритания, Египет, Тунис
Dabroson Греция
Epigent Египет
Garalone Португалия
Garamicina Бразилия, Колумбия, Мексика, Эквадор
Garamycin Голландия, Греция, Дания, Египет, Индия, Норвегия, Объединенные Арабские Эмираты, Польша, Хорватия, Швейцария
Genmisin Турция
Gensif Турция
Gensumycin Норвегия, Финляндия, Швеция
Genta-Gobens Испания
Gentalline Марокко
Gentamen Марокко
Genticin Великобритания, Ирландия, Объединенные Арабские Эмираты
Gentreks Турция
Hexamycin Дания
Plurisemina Аргентина
Refobacin Австрия, Германия, Египет, Колумбия
Rupegen Аргентина

Факторы, которые влияют на стабильность   Инъекция   Факторы, которые влияют на стабильность : Gentamicin sulfate        

  Mentions Légales