Letztes “update” :
27/04/2026
Antibiotikum   Gentamicin sulfate  
Injektion
Augentropfen
Stabilität der Lösung Gemengestabilität Stabilitätbeeinflussende Faktoren Kompatibilitäten Applikationsart Literaturverzeichnis pdf
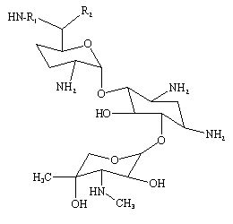
   Chemische Struktur  

Handelsmarke   Handelsmarke     

Handelsnamen sind als beispielhaft anzusehen. Sonstige Bestandteile können je nach Hersteller oder Land verschieden sein

Azupel Peru
Cidomycin Ägypten, Großbritannien, Tunesien
Dabroson Griechenland
Epigent Ägypten
Garalone Portugal
Garamicina Brasilien, Ecuador, Kolumbien, Mexiko
Garamycin Ägypten, Dänemark, Griechenland, Indien, Kroatien, Niederlande, Norwegen, Polen, Schweiz, Vereinigte Arabische Emirate
Genmisin Türkei
Gensif Türkei
Gensumycin Finnland, Norwegen, Schweden
Genta-Gobens Spanien
Gentalline Marokko
Gentamen Marokko
Genticin Großbritannien, Irland, Vereinigte Arabische Emirate
Gentreks Türkei
Hexamycin Dänemark
Plurisemina Argentinien
Refobacin Ägypten, Deutschland, Kolumbien, Österreich
Rupegen Argentinien

Stabilitätbeeinflussende Faktoren   Injektion   Stabilitätbeeinflussende Faktoren : Gentamicin sulfate        

  Mentions Légales