Última actualização :
27/04/2026
antibiótico   Gentamicin sulfate  
injetável
solução oftálmica
Estabilidade em soluções simples Estabilidade em misturas Factores que afectam a sua estabilidade Compatibilidade Método de administração Bibliografía pdf
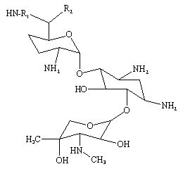
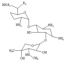
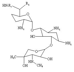
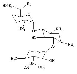
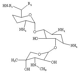
   estrutura química  

Nomes comerciais nos diversos países   Nomes comerciais nos diversos países     

OS NOMES COMERCIAIS SÃO INDICATIVOS E OS EXCIPIENTES DA FORMULAÇÃO PODEM SER DIFERENTES CONFORME O PAÍS E FABRICANTE.

Azupel Peru
Cidomycin Egipto, Gran-bretanha, Tunísia
Dabroson Grècia
Epigent Egipto
Garalone Portugal
Garamicina Brasil, Colômbia, Equator, México
Garamycin Croácia, Dinamarca, Egipto, Emirados Árabes Unidos, Grècia, Índia, Noruega, Países Baixos, Polonia, Suicia
Genmisin Turquia
Gensif Turquia
Gensumycin Finlandia, Noruega, Suècia
Genta-Gobens Espanha
Gentalline Marrocos
Gentamen Marrocos
Genticin Emirados Árabes Unidos, Gran-bretanha, Irlanda
Gentreks Turquia
Hexamycin Dinamarca
Plurisemina Argentina
Refobacin Alemanha, Austria, Colômbia, Egipto
Rupegen Argentina

Factores que afectam a sua estabilidade   injetável   Factores que afectam a sua estabilidade : Gentamicin sulfate        

  Mentions Légales