Последно актуализиране :
27/04/2026
Антибиотик   Gentamicin sulfate  
Инжекция/Инжекционен
Капки за очи
Стабилност на разтвори Стабилност на смеси Фактори, повлияващи стабилността Съвместимост Път на въвеждане Библиография Pdf
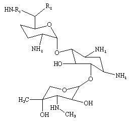
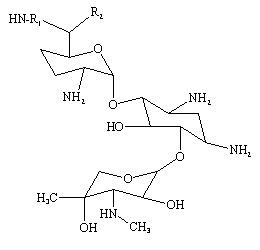
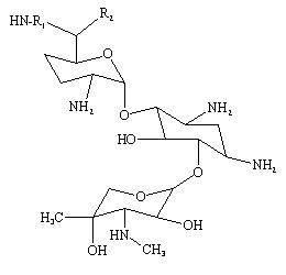
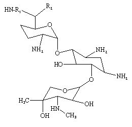
   Химична структура  

Търговско наименование   Търговско наименование     

Търговските имена са примерни и съставът на помощните вещества може да бъде различен в зависимост от държавата и лабораториите

Azupel Перу
Cidomycin Великобритания, Египет, Тунис
Dabroson Гърция
Epigent Египет
Garalone Португалия
Garamicina Бразилия, Еквадор, Колумбия, Мексико
Garamycin Гърция, Дания, Египет, Индия, Норвегия, Обединени арабски емирства, Полша, Холандия, Хърватия, Швейцария
Genmisin Турция
Gensif Турция
Gensumycin Норвегия, Финландия, Швеция
Genta-Gobens Испания
Gentalline Мароко
Gentamen Мароко
Genticin Великобритания, Ирландия, Обединени арабски емирства
Gentreks Турция
Hexamycin Дания
Plurisemina Аржентина
Refobacin Австрия, Германия, Египет, Колумбия
Rupegen Аржентина

Фактори, повлияващи стабилността   Инжекция/Инжекционен   Фактори, повлияващи стабилността : Gentamicin sulfate        

  Mentions Légales