Pēdējā atjaunošana :
27/04/2026
Antibiotika   Gentamicin sulfate  
Injekcija
Acu pilieni
Šķīduma stabilitāte Maisījuma stabilitāte Stabilitāti ietekmējoši faktori Saderība Levadīšanas veids Literatūras saraksts pdf
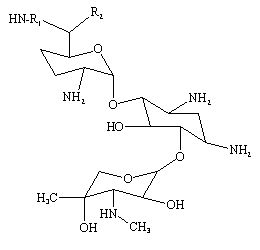
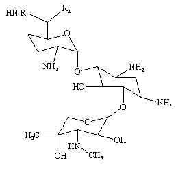
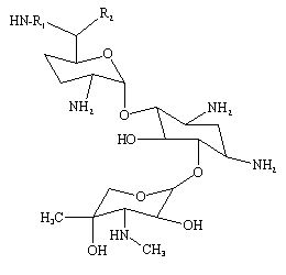
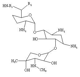
   Ķīmiskā uzbūve   

Oriģinālais nosaukums   Oriģinālais nosaukums     

Tirdzniecības nosaukumi ir apzīmējoši un palīgvielas var atšķirties dažādām valstīm un laboratorijām

Azupel Peru
Cidomycin Ēģipte, Lielbritānija, Tunisija
Dabroson Grieķija
Epigent Ēģipte
Garalone Portugāle
Garamicina Brazīlija, Ekvadora, Kolumbija, Meksika
Garamycin Apvienotie Arābu Emirāti, Dānija, Ēģipte, Grieķija, Holande, Horvātija, Indija, Norvēģija, Polija, Šveice
Genmisin Turcija
Gensif Turcija
Gensumycin Norvēģija, Somija, Zviedrija
Genta-Gobens Spānija
Gentalline Maroka
Gentamen Maroka
Genticin Apvienotie Arābu Emirāti, Īrija, Lielbritānija
Gentreks Turcija
Hexamycin Dānija
Plurisemina Argentīna
Refobacin Austrija, Ēģipte, Kolumbija, Vācija
Rupegen Argentīna

Stabilitāti ietekmējoši faktori   Injekcija   Stabilitāti ietekmējoši faktori : Gentamicin sulfate        

  Mentions Légales