Poslední aktualizace :
27/04/2026
Antibiotikas   Gentamicin sulfate  
Įpurškimas
Akių lašai
Tirpalų stabilumas Mišinių stabilumas Stabilumą lemiantys veiksniai Suderinamumas Leidimo būdai Bibliografija pdf
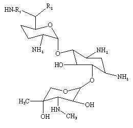
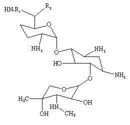
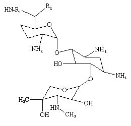
   Cheminė sandara  

Prekinis pavadinimas   Prekinis pavadinimas     

Trade names are indicative and excipients composition can be different depending on the country and manufacturers

Azupel Peru
Cidomycin Didžioji Britanija, Egiptas, Tunisas
Dabroson Graikija
Epigent Egiptas
Garalone Portugalija
Garamicina Brazilija, Ekvadoras, Kolumbija, Meksikas
Garamycin Danija, Egiptas, Graikija, Indija, Jungtiniai Arabų Emyratai, Kroatija, Lenkija, Norvegija, Olandija, Šveicarija
Genmisin Turkija
Gensif Turkija
Gensumycin Norvegija, Suomija, Švedija
Genta-Gobens Ispanija
Gentalline Marokas
Gentamen Marokas
Genticin Airija, Didžioji Britanija, Jungtiniai Arabų Emyratai
Gentreks Turkija
Hexamycin Danija
Plurisemina Argentina
Refobacin Austrija, Egiptas, Kolumbija, Vokietija
Rupegen Argentina

Stabilumą lemiantys veiksniai   Įpurškimas   Stabilumą lemiantys veiksniai : Gentamicin sulfate        

  Mentions Légales