Viimeisin päivitys :
27/04/2026
Antibiootit   Gentamicin sulfate  
Injektioneste
Silmätipat
Stabilius liuoksessa Stabilius seoksissa Tekijät, jotka vaikuttavat stabiliuteen Yhteensopivuus Antotapa Viitteet pdf
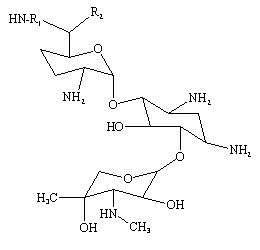
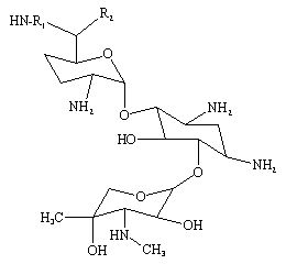
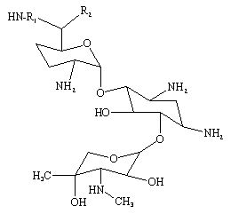
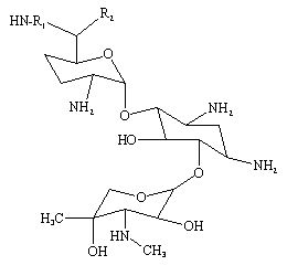
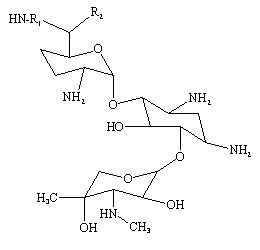
   Kemiallinen rakenne  

Kauppanimi   Kauppanimi     

Trade names are indicative and excipients composition can be different depending on the country and manufacturers

Azupel Marokko
Cidomycin Egypti, Iso-Britannia, Tunisia
Dabroson Kreikka
Epigent Egypti
Garalone Portugali
Garamicina Brasilia, Ecuador, Kolumbia, Meksiko
Garamycin Egypti, Hollanti, Intia, Kreikka, Kroatia, Norja, Puola, Sveitsi, Tanska, Yhdistyneet arabiemiirikunnat
Genmisin Turkki
Gensif Turkki
Gensumycin Norja, Ruotsi, Suomi
Genta-Gobens Espanja
Gentalline Marokko
Gentamen Marokko
Genticin Irlanti, Iso-Britannia, Yhdistyneet arabiemiirikunnat
Gentreks Turkki
Hexamycin Tanska
Plurisemina Argentiina
Refobacin Egypti, Itävalta, Kolumbia, Saksa
Rupegen Argentiina

Tekijät, jotka vaikuttavat stabiliuteen   Injektioneste   Tekijät, jotka vaikuttavat stabiliuteen : Gentamicin sulfate        

  Mentions Légales