Senaste uppdateringen :
27/04/2026
Antibiotikum   Flucloxacillin sodium  
injektion
Lösningars stabilitet Stabilitet i blandningar Faktorer som påverkar stabiliteten Kompatibilitet Administreringssätt Hänvisningar pdf
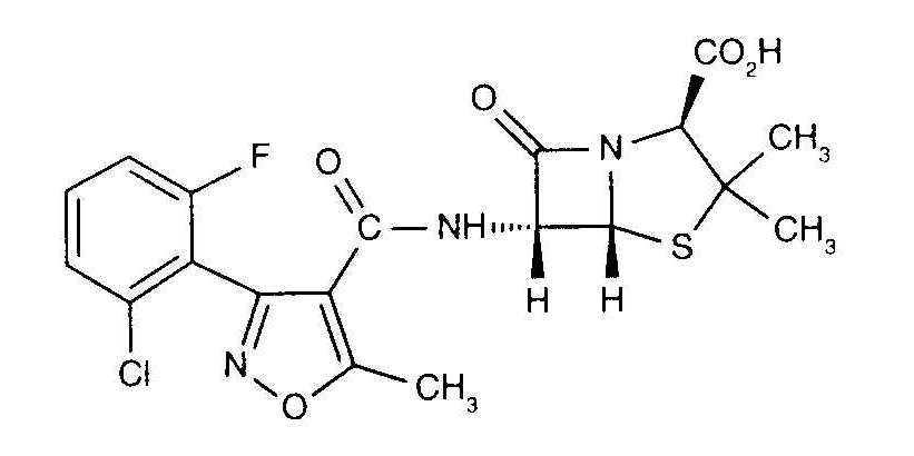
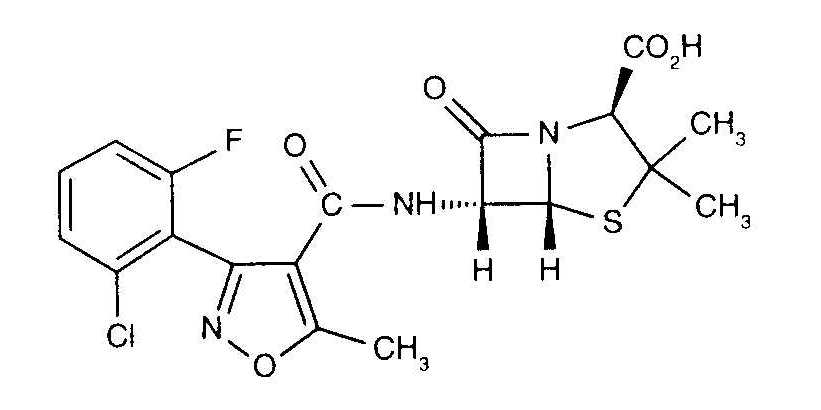
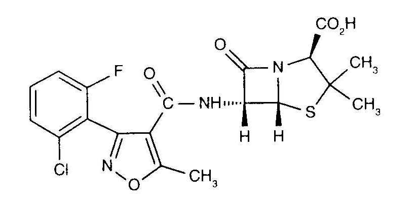
   Molekylstruktur  

Varunamn   Varunamn     

Angivna handelsnamn på läkemedel är enbart vägledande då formulering inklusive hjälpämnen kan variera mellan länder och tillverkare

Astaph Marocko
Betabiotic Italien
DBL flucloxacillin sodium Australien
Flix Turkiet
Floxam Marocko
Floxapen Belgien, Förenta Staterna, Italien, Marocko, Nederländerna, Österrike, Polen, Portugal, Saudi-Arabien, Schweiz
Flucloxacillin Australien, Italien, Storbritannien, Tyskland
Flucloxacilline Belgien, Frankrike, Nederländerna
Flucloxin nya Zeeland
Ladropen Förenta Staterna
Stafoxil Nederländerna
Staphylex Tyskland
Lösningars stabilitet   injektion   Lösningars stabilitet : Flucloxacillin sodium     
Behållare Lösningsmedel Koncentration Temperatur Förvaring Stabilitets varaktighet Hänvisningar
Glas Vatten för injektion 5 mg/ml 2-8°C Skyddas från ljus
7 Dag
4922
Evidensnivå D

Glas NaCl 0.9% + fenol 0.4% 5 mg/ml 2-8°C Skyddas från ljus
7 Dag
4922
Evidensnivå D

Polyvinylklorid Natriumklorid 0,9 % 120 mg/ml 2-8°C Ej angiven
6 Dag
3189
Evidensnivå D

Polyvinylklorid Natriumklorid 0,9 % 20 mg/ml -27°C Skyddas från ljus
270 Dag
1349
Evidensnivå D

Polyvinylklorid Natriumklorid 0,9 % 5 & 10 & 20 mg/ml 5°C Skyddas från ljus
21 Dag
1494
Evidensnivå D

Polyvinylklorid Glukos 5 % 20 mg/ml -27°C Skyddas från ljus
90 Dag
1349
Evidensnivå D

Polypropylen Natriumklorid 0,9 % 10 mg/ml 2-8°C Skyddas från ljus
14 Dag
1845
Evidensnivå B+

Polypropylen Natriumklorid 0,9 % 10 mg/ml 25°C Skyddas från ljus
4 Dag
1845
Evidensnivå B+

Spruta polypropen Vatten för injektion 140 mg/ml 4°C-8°C Skyddas från ljus
9 Dag
1300
Biologisk analys

Spruta polypropen Vatten för injektion 5 mg/ml 2-8°C Skyddas från ljus
2 Dag
4922
Evidensnivå D

Spruta polypropen NaCl 0.9% + fenol 0.4% 5 mg/ml 2-8°C Skyddas från ljus
2 Dag
4922
Evidensnivå D

Polyisopren elastomer Natriumklorid 0,9 % 50 mg/ml 2-8°C Ej angiven
6 Dag
3189
Evidensnivå D

Polyisopren elastomer NaCl 0,9% tamponsitrat 0,3% pH 7 10 & 50 mg/ml 2-8°C Ej angiven
13 Dag
4218
Evidensnivå A+

Polyisopren elastomer NaCl 0,9% tamponsitrat 0,3% pH 7 10 & 50 mg/ml 32°C Ej angiven
24 Timma
4218
Evidensnivå A+

Polyisopren elastomer NaCl 0,9% tamponsitrat 0,3% pH 7 5 & 60 mg/ml 2-8°C Skyddas från ljus
6 Dag
4590
Evidensnivå A

Polyisopren elastomer NaCl 0,9% tamponsitrat 0,3% pH 7 5 & 60 mg/ml 37°C Skyddas från ljus
24 Timma
4590
Evidensnivå A

Silikonelastomer NaCl 0,9% tamponsitrat 0,3% pH 7 10 & 50 mg/ml 2-8°C Ej angiven
13 Dag
4218
Evidensnivå A+

Silikonelastomer NaCl 0,9% tamponsitrat 0,3% pH 7 10 & 50 mg/ml 32°C Ej angiven
24 Timma
4218
Evidensnivå A+


  Mentions Légales