Utolsó frissítés :
27/04/2026
Antibiotikum   Flucloxacillin sodium  
Injekció
Az oldatok stabilitása A keverékek stabilitása Stabilitást befolyásoló tényezők Kompatibilitás Az alkalmazás módja Irodalom pdf
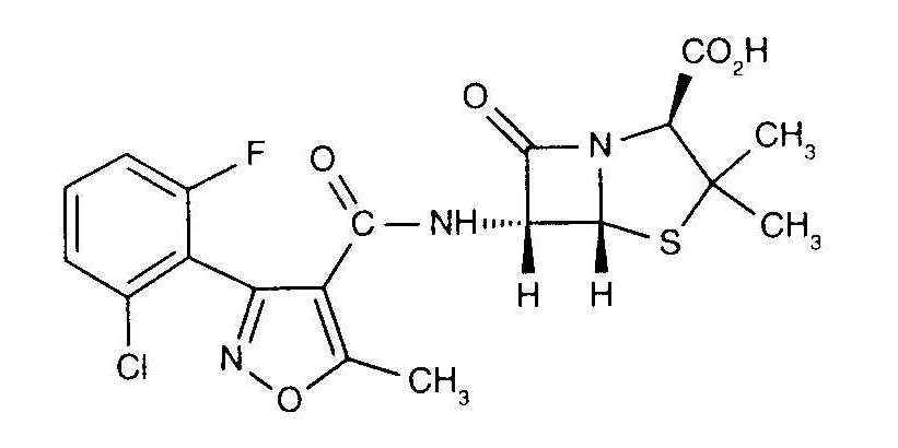
   Kémiai szerkezet   

Kereskedelmi név   Kereskedelmi név     

A kereskedelmi név meghatározó jelentőségű: a készítmények összetétele országonként, előállítóként eltérő lehet

Astaph Marokkó
Betabiotic Olaszország
DBL flucloxacillin sodium Ausztrália
Flix Törökország
Floxam Marokkó
Floxapen Amerikai Egyesült Államok, Ausztria, Belgium, Hollandia, Lengyelország, Marokkó, Olaszország, Portugália, Svájc, Szaúd-Arábiában
Flucloxacillin Ausztrália, Nagy-Britannia, Németország, Olaszország
Flucloxacilline Belgium, Franciaország, Hollandia
Flucloxin új-Zéland
Ladropen Amerikai Egyesült Államok
Stafoxil Hollandia
Staphylex Németország
Az oldatok stabilitása   Injekció   Az oldatok stabilitása : Flucloxacillin sodium     
Csomagolás Oldószer Koncentráció Hőmérséklet Tárolás A stabilitás időtartama Irodalom
Üveg Injekcióhoz való víz 5 mg/ml 2-8°C Fénytől védve tartandó
7 Nap
4922
Szintű bizonyítékot D

Üveg NaCl 0.9% + fenol 0.4% 5 mg/ml 2-8°C Fénytől védve tartandó
7 Nap
4922
Szintű bizonyítékot D

Poli(vinilklorid) 0,9% nátrium-klorid 120 mg/ml 2-8°C Nincs meghatározva
6 Nap
3189
Szintű bizonyítékot D

Poli(vinilklorid) 0,9% nátrium-klorid 20 mg/ml -27°C Fénytől védve tartandó
270 Nap
1349
Szintű bizonyítékot D

Poli(vinilklorid) 0,9% nátrium-klorid 5 & 10 & 20 mg/ml 5°C Fénytől védve tartandó
21 Nap
1494
Szintű bizonyítékot D

Poli(vinilklorid) 5% glükóz 20 mg/ml -27°C Fénytől védve tartandó
90 Nap
1349
Szintű bizonyítékot D

Polipropilén 0,9% nátrium-klorid 10 mg/ml 2-8°C Fénytől védve tartandó
14 Nap
1845
Szintű bizonyítékot B+

Polipropilén 0,9% nátrium-klorid 10 mg/ml 25°C Fénytől védve tartandó
4 Nap
1845
Szintű bizonyítékot B+

fecskendő polipropilén Injekcióhoz való víz 140 mg/ml 4°C-8°C Fénytől védve tartandó
9 Nap
1300
Biológiai elemzés

fecskendő polipropilén Injekcióhoz való víz 5 mg/ml 2-8°C Fénytől védve tartandó
2 Nap
4922
Szintű bizonyítékot D

fecskendő polipropilén NaCl 0.9% + fenol 0.4% 5 mg/ml 2-8°C Fénytől védve tartandó
2 Nap
4922
Szintű bizonyítékot D

Poliizoprén elasztomer 0,9% nátrium-klorid 50 mg/ml 2-8°C Nincs meghatározva
6 Nap
3189
Szintű bizonyítékot D

Poliizoprén elasztomer NaCl 0,9% tampon-citrát 0,3% pH7 10 & 50 mg/ml 2-8°C Nincs meghatározva
13 Nap
4218
Szintű bizonyítékot A+

Poliizoprén elasztomer NaCl 0,9% tampon-citrát 0,3% pH7 10 & 50 mg/ml 32°C Nincs meghatározva
24 Óra
4218
Szintű bizonyítékot A+

Poliizoprén elasztomer NaCl 0,9% tampon-citrát 0,3% pH7 5 & 60 mg/ml 2-8°C Fénytől védve tartandó
6 Nap
4590
Szintű bizonyítékot A

Poliizoprén elasztomer NaCl 0,9% tampon-citrát 0,3% pH7 5 & 60 mg/ml 37°C Fénytől védve tartandó
24 Óra
4590
Szintű bizonyítékot A

Szilikon elasztomer NaCl 0,9% tampon-citrát 0,3% pH7 10 & 50 mg/ml 2-8°C Nincs meghatározva
13 Nap
4218
Szintű bizonyítékot A+

Szilikon elasztomer NaCl 0,9% tampon-citrát 0,3% pH7 10 & 50 mg/ml 32°C Nincs meghatározva
24 Óra
4218
Szintű bizonyítékot A+


  Mentions Légales