Laatste update :
27/04/2026
Antibioticum   Flucloxacillin sodium  
injecteerbaar geneesmiddel
Stabiliteit in oplossing Stabiliteit in mengsels Factoren die de stabiliteit beïnvloeden Verenigbaarheden Toedieningswijze Literatuur pdf
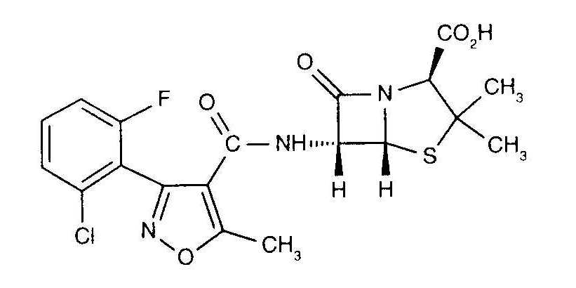
   Molecuulstructuur  

Merknamen in verschillende landen   Merknamen in verschillende landen     

Handelsnamen zijn slechts een indicatie; de samenstelling van hulpstoffen kan per land variëren afhankelijk van de fabrikant

Astaph Marokko
Betabiotic Italië
DBL flucloxacillin sodium Australië
Flix Turkije
Floxam Marokko
Floxapen België, Italië, Marokko, Nederland, Oostenrijk, Polen, Portugal, Saudi-Arabië, USA, Zwitserland
Flucloxacillin Australië, Duitsland, Groot Britannië, Italië
Flucloxacilline België, Frankrijk, Nederland
Flucloxin nieuw Zeeland
Ladropen USA
Stafoxil Nederland
Staphylex Duitsland
Stabiliteit in oplossing   injecteerbaar geneesmiddel   Stabiliteit in oplossing : Flucloxacillin sodium     
Verpakking Oplosmiddel Concentratie Temperatuur Bewaring Duur van de stabiliteit Literatuur
Glas Water voor injectie 5 mg/ml 2-8°C Buiten invloed van licht
7 Dag
4922
Bewijsniveau D

Glas NaCl 0.9% + fenol 0.4% 5 mg/ml 2-8°C Buiten invloed van licht
7 Dag
4922
Bewijsniveau D

Polyvinylchloride (PVC) Natriumchloride 0,9% 120 mg/ml 2-8°C Niet gespecificeerd
6 Dag
3189
Bewijsniveau D

Polyvinylchloride (PVC) Natriumchloride 0,9% 20 mg/ml -27°C Buiten invloed van licht
270 Dag
1349
Bewijsniveau D

Polyvinylchloride (PVC) Natriumchloride 0,9% 5 & 10 & 20 mg/ml 5°C Buiten invloed van licht
21 Dag
1494
Bewijsniveau D

Polyvinylchloride (PVC) Glucose 5% 20 mg/ml -27°C Buiten invloed van licht
90 Dag
1349
Bewijsniveau D

Polypropyleen (PP) Natriumchloride 0,9% 10 mg/ml 2-8°C Buiten invloed van licht
14 Dag
1845
Niveau van bewijs B+

Polypropyleen (PP) Natriumchloride 0,9% 10 mg/ml 25°C Buiten invloed van licht
4 Dag
1845
Niveau van bewijs B+

injectiespuit polypropyleen Water voor injectie 140 mg/ml 4°C-8°C Buiten invloed van licht
9 Dag
1300
Biologische analyse

injectiespuit polypropyleen Water voor injectie 5 mg/ml 2-8°C Buiten invloed van licht
2 Dag
4922
Bewijsniveau D

injectiespuit polypropyleen NaCl 0.9% + fenol 0.4% 5 mg/ml 2-8°C Buiten invloed van licht
2 Dag
4922
Bewijsniveau D

Polyisopreen elastomeer Natriumchloride 0,9% 50 mg/ml 2-8°C Niet gespecificeerd
6 Dag
3189
Bewijsniveau D

Polyisopreen elastomeer 0.9% NaCl 0,3% citraatbuffer pH7 10 & 50 mg/ml 2-8°C Niet gespecificeerd
13 Dag
4218
Bewijsniveau A+

Polyisopreen elastomeer 0.9% NaCl 0,3% citraatbuffer pH7 10 & 50 mg/ml 32°C Niet gespecificeerd
24 Uur
4218
Bewijsniveau A+

Polyisopreen elastomeer 0.9% NaCl 0,3% citraatbuffer pH7 5 & 60 mg/ml 2-8°C Buiten invloed van licht
6 Dag
4590
Bewijsniveau A

Polyisopreen elastomeer 0.9% NaCl 0,3% citraatbuffer pH7 5 & 60 mg/ml 37°C Buiten invloed van licht
24 Uur
4590
Bewijsniveau A

Siliconenelastomeer 0.9% NaCl 0,3% citraatbuffer pH7 10 & 50 mg/ml 2-8°C Niet gespecificeerd
13 Dag
4218
Bewijsniveau A+

Siliconenelastomeer 0.9% NaCl 0,3% citraatbuffer pH7 10 & 50 mg/ml 32°C Niet gespecificeerd
24 Uur
4218
Bewijsniveau A+


  Mentions Légales