Τελευταία ενημέρωση :
27/04/2026
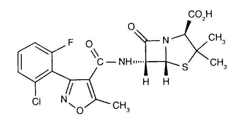
Αντιβιοτικό   Flucloxacillin sodium  
Ενέσιμο
Σταθερότητα διαλυμάτων Σταθερότητα σε μίγματα Παράγοντας που επηρεάζει τη σταθερότητα Συμβατότητες Τρόπος χορήγησης Βιβλιογραφία pdf
   χημική δομή  

Εμπορική ονομασία   Εμπορική ονομασία     

Οι εμπορικές ονομασίες είναι ενδεικτικές και η σύνθεση των εκδόχων μπορεί να διαφέρει ανάλογα με τη χώρα και τα εργαστήρια

Astaph Μαρόκο
Betabiotic Ιταλία
DBL flucloxacillin sodium Αυστραλία
Flix Τουρκία
Floxam Μαρόκο
Floxapen Αυστρία, Βέλγιο, Ελβετία, Η.Π.Α., Ιταλία, Μαρόκο, Ολλανδία, Πολωνία, Πορτογαλία, Σαουδική Αραβία
Flucloxacillin Αυστραλία, Γερμανία, Ιταλία, Μεγάλη Βρετανία
Flucloxacilline Βέλγιο, Γαλλία, Ολλανδία
Flucloxin νέα Ζηλανδία
Ladropen Η.Π.Α.
Stafoxil Ολλανδία
Staphylex Γερμανία
Σταθερότητα διαλυμάτων   Ενέσιμο   Σταθερότητα διαλυμάτων : Flucloxacillin sodium     
Υποδοχέας Διαλυτικό Συγκέντρωση Θερμοκρασία Αποθήκευση Διάρκεια σταθερότητας Βιβλιογραφία
Ύαλος Ενέσιμο ύδωρ 5 mg/ml 2-8°C Προστατεύετε από το φως
7 Ημέρα
4922
Επίπεδο των αποδεικτικών στοιχείων D

Ύαλος NaCl 0.9% + φαινόλη 0.4% 5 mg/ml 2-8°C Προστατεύετε από το φως
7 Ημέρα
4922
Επίπεδο των αποδεικτικών στοιχείων D

Πολυβινυλοχλωρίδιο Χλωριούχο νάτριο 0,9% 120 mg/ml 2-8°C Απροσδιόριστο
6 Ημέρα
3189
Επίπεδο των αποδεικτικών στοιχείων D

Πολυβινυλοχλωρίδιο Χλωριούχο νάτριο 0,9% 20 mg/ml -27°C Προστατεύετε από το φως
270 Ημέρα
1349
Επίπεδο των αποδεικτικών στοιχείων D

Πολυβινυλοχλωρίδιο Χλωριούχο νάτριο 0,9% 5 & 10 & 20 mg/ml 5°C Προστατεύετε από το φως
21 Ημέρα
1494
Επίπεδο των αποδεικτικών στοιχείων D

Πολυβινυλοχλωρίδιο Γλυκόζη 5% 20 mg/ml -27°C Προστατεύετε από το φως
90 Ημέρα
1349
Επίπεδο των αποδεικτικών στοιχείων D

Πολυπροπυλένιο Χλωριούχο νάτριο 0,9% 10 mg/ml 2-8°C Προστατεύετε από το φως
14 Ημέρα
1845
Επίπεδο των αποδεικτικών στοιχείων B+

Πολυπροπυλένιο Χλωριούχο νάτριο 0,9% 10 mg/ml 25°C Προστατεύετε από το φως
4 Ημέρα
1845
Επίπεδο των αποδεικτικών στοιχείων B+

σύριγγα πολυπροπυλένιο Ενέσιμο ύδωρ 140 mg/ml 4°C-8°C Προστατεύετε από το φως
9 Ημέρα
1300
Βιολογική ανάλυση

σύριγγα πολυπροπυλένιο Ενέσιμο ύδωρ 5 mg/ml 2-8°C Προστατεύετε από το φως
2 Ημέρα
4922
Επίπεδο των αποδεικτικών στοιχείων D

σύριγγα πολυπροπυλένιο NaCl 0.9% + φαινόλη 0.4% 5 mg/ml 2-8°C Προστατεύετε από το φως
2 Ημέρα
4922
Επίπεδο των αποδεικτικών στοιχείων D

Ελαστομερές πολυισοπρένιο Χλωριούχο νάτριο 0,9% 50 mg/ml 2-8°C Απροσδιόριστο
6 Ημέρα
3189
Επίπεδο των αποδεικτικών στοιχείων D

Ελαστομερές πολυισοπρένιο NaCl 0,9% κιτρικό ταμπόν 0,3% ρΗ 7 10 & 50 mg/ml 2-8°C Απροσδιόριστο
13 Ημέρα
4218
Επίπεδο των αποδεικτικών στοιχείων A+

Ελαστομερές πολυισοπρένιο NaCl 0,9% κιτρικό ταμπόν 0,3% ρΗ 7 10 & 50 mg/ml 32°C Απροσδιόριστο
24 Ώρα
4218
Επίπεδο των αποδεικτικών στοιχείων A+

Ελαστομερές πολυισοπρένιο NaCl 0,9% κιτρικό ταμπόν 0,3% ρΗ 7 5 & 60 mg/ml 2-8°C Προστατεύετε από το φως
6 Ημέρα
4590
Επίπεδο των αποδεικτικών στοιχείων A

Ελαστομερές πολυισοπρένιο NaCl 0,9% κιτρικό ταμπόν 0,3% ρΗ 7 5 & 60 mg/ml 37°C Προστατεύετε από το φως
24 Ώρα
4590
Επίπεδο των αποδεικτικών στοιχείων A

Ελαστομερές σιλικόνης NaCl 0,9% κιτρικό ταμπόν 0,3% ρΗ 7 10 & 50 mg/ml 2-8°C Απροσδιόριστο
13 Ημέρα
4218
Επίπεδο των αποδεικτικών στοιχείων A+

Ελαστομερές σιλικόνης NaCl 0,9% κιτρικό ταμπόν 0,3% ρΗ 7 10 & 50 mg/ml 32°C Απροσδιόριστο
24 Ώρα
4218
Επίπεδο των αποδεικτικών στοιχείων A+


  Mentions Légales