Letztes “update” :
27/04/2026
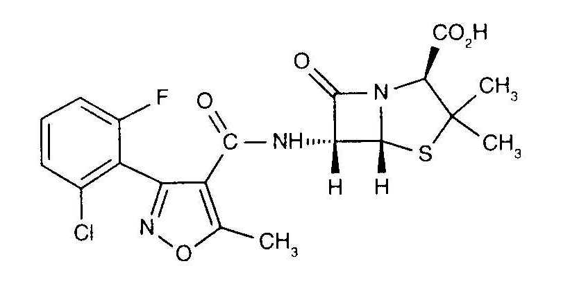
Antibiotikum   Flucloxacillin sodium  
Injektion
Stabilität der Lösung Gemengestabilität Stabilitätbeeinflussende Faktoren Kompatibilitäten Applikationsart Literaturverzeichnis pdf
   Chemische Struktur  

Handelsmarke   Handelsmarke     

Handelsnamen sind als beispielhaft anzusehen. Sonstige Bestandteile können je nach Hersteller oder Land verschieden sein

Astaph Marokko
Betabiotic Italien
DBL flucloxacillin sodium Australien
Flix Türkei
Floxam Marokko
Floxapen Belgien, Italien, Marokko, Niederlande, Österreich, Polen, Portugal, Saudi-Arabien, Schweiz, Vereinigte Staaten von Amerika
Flucloxacillin Australien, Deutschland, Großbritannien, Italien
Flucloxacilline Belgien, Frankreich, Niederlande
Flucloxin Neuseeland
Ladropen Vereinigte Staaten von Amerika
Stafoxil Niederlande
Staphylex Deutschland
Stabilität der Lösung   Injektion   Stabilität der Lösung : Flucloxacillin sodium     
Behälter Lösungsmittel Konzentration Temperatur Konservierung Dauer der Stabilität Literaturverzeichnis
Glas Wasser für injektable präparate 5 mg/ml 2-8°C Ohne Licht
7 Tag
4922
Evidenzgrad D

Glas NaCl 0.9% + phenol 0.4% 5 mg/ml 2-8°C Ohne Licht
7 Tag
4922
Evidenzgrad D

Polyvinylchlorid 0,9% Natriumchlorid 120 mg/ml 2-8°C Nicht genau angegeben
6 Tag
3189
Evidenzgrad D

Polyvinylchlorid 0,9% Natriumchlorid 20 mg/ml -27°C Ohne Licht
270 Tag
1349
Evidenzgrad D

Polyvinylchlorid 0,9% Natriumchlorid 5 & 10 & 20 mg/ml 5°C Ohne Licht
21 Tag
1494
Evidenzgrad D

Polyvinylchlorid 5% Glucose 20 mg/ml -27°C Ohne Licht
90 Tag
1349
Evidenzgrad D

Polypropylen 0,9% Natriumchlorid 10 mg/ml 2-8°C Ohne Licht
14 Tag
1845
Evidenzgrad B+

Polypropylen 0,9% Natriumchlorid 10 mg/ml 25°C Ohne Licht
4 Tag
1845
Evidenzgrad B+

 Spritze Polypropylen Wasser für injektable präparate 140 mg/ml 4°C-8°C Ohne Licht
9 Tag
1300
Biologische Analysen

 Spritze Polypropylen Wasser für injektable präparate 5 mg/ml 2-8°C Ohne Licht
2 Tag
4922
Evidenzgrad D

 Spritze Polypropylen NaCl 0.9% + phenol 0.4% 5 mg/ml 2-8°C Ohne Licht
2 Tag
4922
Evidenzgrad D

Polyisoprenelastomer 0,9% Natriumchlorid 50 mg/ml 2-8°C Nicht genau angegeben
6 Tag
3189
Evidenzgrad D

Polyisoprenelastomer NaCl 0,9% Citratpuffer 0,3% pH7 10 & 50 mg/ml 2-8°C Nicht genau angegeben
13 Tag
4218
Evidenzgrad A+

Polyisoprenelastomer NaCl 0,9% Citratpuffer 0,3% pH7 10 & 50 mg/ml 32°C Nicht genau angegeben
24 Stunde
4218
Evidenzgrad A+

Polyisoprenelastomer NaCl 0,9% Citratpuffer 0,3% pH7 5 & 60 mg/ml 2-8°C Ohne Licht
6 Tag
4590
Evidenzgrad A

Polyisoprenelastomer NaCl 0,9% Citratpuffer 0,3% pH7 5 & 60 mg/ml 37°C Ohne Licht
24 Stunde
4590
Evidenzgrad A

Silikonelastomer NaCl 0,9% Citratpuffer 0,3% pH7 10 & 50 mg/ml 2-8°C Nicht genau angegeben
13 Tag
4218
Evidenzgrad A+

Silikonelastomer NaCl 0,9% Citratpuffer 0,3% pH7 10 & 50 mg/ml 32°C Nicht genau angegeben
24 Stunde
4218
Evidenzgrad A+


  Mentions Légales