Seneste opdatering :
27/04/2026
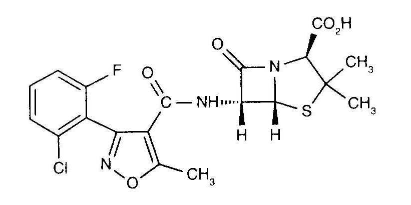
Antibiotisk   Flucloxacillin sodium  
Injektion
Stabilitet i (vandige) opløsninger Stabilitet i blandinger Faktorer der påvirker stabiliteten Kompatibilitet Administrationsvej Bibliografi pdf
   Kemisk struktur  

Handelsnavn   Handelsnavn     

Handel navne er vejledende og hjælpestoffer sammensætning kan være forskellig afhængigt af landet og laboratorier

Astaph Marokko
Betabiotic Italien
DBL flucloxacillin sodium Australien
Flix Tyrkiet
Floxam Marokko
Floxapen Belgien, Holland, Italien, Marokko, Polen, Portugal, Saudi-Arabien, Schweiz, USA, Østrig
Flucloxacillin Australien, Italien, Storbritanien, Tyskland
Flucloxacilline Belgien, Frankrig, Holland
Flucloxin New Zealand
Ladropen USA
Stafoxil Holland
Staphylex Tyskland
Stabilitet i (vandige) opløsninger   Injektion   Stabilitet i (vandige) opløsninger : Flucloxacillin sodium     
Beholder Opløsningsmiddel Koncentration Temperatur Konservering Varighed af stabilitet Bibliografi
Glas Vand til injektion 5 mg/ml 2-8°C Beskyt mod lys
7 Dag
4922
Level af bevismateriale D

Glas NaCl 0.9% + phenol 0.4% 5 mg/ml 2-8°C Beskyt mod lys
7 Dag
4922
Level af bevismateriale D

Polyvinylklorid 0,9 % Natriumklorid 120 mg/ml 2-8°C Ikke nærmere angivet
6 Dag
3189
Level af bevismateriale D

Polyvinylklorid 0,9 % Natriumklorid 20 mg/ml -27°C Beskyt mod lys
270 Dag
1349
Level af bevismateriale D

Polyvinylklorid 0,9 % Natriumklorid 5 & 10 & 20 mg/ml 5°C Beskyt mod lys
21 Dag
1494
Level af bevismateriale D

Polyvinylklorid 5 % Glukose 20 mg/ml -27°C Beskyt mod lys
90 Dag
1349
Level af bevismateriale D

Polypropylen 0,9 % Natriumklorid 10 mg/ml 2-8°C Beskyt mod lys
14 Dag
1845
Level af bevismateriale B+

Polypropylen 0,9 % Natriumklorid 10 mg/ml 25°C Beskyt mod lys
4 Dag
1845
Level af bevismateriale B+

sprøjte polypropylen Vand til injektion 140 mg/ml 4°C-8°C Beskyt mod lys
9 Dag
1300
biologisk analyse

sprøjte polypropylen Vand til injektion 5 mg/ml 2-8°C Beskyt mod lys
2 Dag
4922
Level af bevismateriale D

sprøjte polypropylen NaCl 0.9% + phenol 0.4% 5 mg/ml 2-8°C Beskyt mod lys
2 Dag
4922
Level af bevismateriale D

Polyisopren elastomer 0,9 % Natriumklorid 50 mg/ml 2-8°C Ikke nærmere angivet
6 Dag
3189
Level af bevismateriale D

Polyisopren elastomer NaCl 0,9% citratbuffer 0,3% pH 7 10 & 50 mg/ml 2-8°C Ikke nærmere angivet
13 Dag
4218
Level af bevismateriale A+

Polyisopren elastomer NaCl 0,9% citratbuffer 0,3% pH 7 10 & 50 mg/ml 32°C Ikke nærmere angivet
24 Time
4218
Level af bevismateriale A+

Polyisopren elastomer NaCl 0,9% citratbuffer 0,3% pH 7 5 & 60 mg/ml 2-8°C Beskyt mod lys
6 Dag
4590
Level af bevismateriale A

Polyisopren elastomer NaCl 0,9% citratbuffer 0,3% pH 7 5 & 60 mg/ml 37°C Beskyt mod lys
24 Time
4590
Level af bevismateriale A

Elastomer i silikone NaCl 0,9% citratbuffer 0,3% pH 7 10 & 50 mg/ml 2-8°C Ikke nærmere angivet
13 Dag
4218
Level af bevismateriale A+

Elastomer i silikone NaCl 0,9% citratbuffer 0,3% pH 7 10 & 50 mg/ml 32°C Ikke nærmere angivet
24 Time
4218
Level af bevismateriale A+


  Mentions Légales