Pēdējā atjaunošana :
27/04/2026
Antibiotika   Flucloxacillin sodium  
Injekcija
Šķīduma stabilitāte Maisījuma stabilitāte Stabilitāti ietekmējoši faktori Saderība Levadīšanas veids Literatūras saraksts pdf
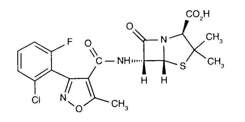
   Ķīmiskā uzbūve   

Oriģinālais nosaukums   Oriģinālais nosaukums     

Tirdzniecības nosaukumi ir apzīmējoši un palīgvielas var atšķirties dažādām valstīm un laboratorijām

Astaph Maroka
Betabiotic Itālija
DBL flucloxacillin sodium Austrālija
Flix Turcija
Floxam Maroka
Floxapen Amerikas Savienotās Valstis, Austrija, Beļģija, Holande, Itālija, Maroka, Polija, Portugāle, Saūda Arābija, Šveice
Flucloxacillin Austrālija, Itālija, Lielbritānija, Vācija
Flucloxacilline Beļģija, Francija, Holande
Flucloxin Jaunzēlande
Ladropen Amerikas Savienotās Valstis
Stafoxil Holande
Staphylex Vācija
Šķīduma stabilitāte   Injekcija   Šķīduma stabilitāte : Flucloxacillin sodium     
Iepakojums Šķīdinātājs Koncentrācija Temperatūra Glabāšana Stabilitātes ilgums Literatūras saraksts
Stikls Ūdens injekcijām 5 mg/ml 2-8°C Aizsargāt no gaismas
7 Diena
4922
Pierādījumu līmenis D

Stikls NaCl 0.9% + fenols 0.4% 5 mg/ml 2-8°C Aizsargāt no gaismas
7 Diena
4922
Pierādījumu līmenis D

Polivinilhlorīds Nātrija hlorīds 0.9% 120 mg/ml 2-8°C Nav specifisks
6 Diena
3189
Pierādījumu līmenis D

Polivinilhlorīds Nātrija hlorīds 0.9% 20 mg/ml -27°C Aizsargāt no gaismas
270 Diena
1349
Pierādījumu līmenis D

Polivinilhlorīds Nātrija hlorīds 0.9% 5 & 10 & 20 mg/ml 5°C Aizsargāt no gaismas
21 Diena
1494
Pierādījumu līmenis D

Polivinilhlorīds 5% glikoze 20 mg/ml -27°C Aizsargāt no gaismas
90 Diena
1349
Pierādījumu līmenis D

Polipropilēns Nātrija hlorīds 0.9% 10 mg/ml 2-8°C Aizsargāt no gaismas
14 Diena
1845
Pierādījumu līmenis B+

Polipropilēns Nātrija hlorīds 0.9% 10 mg/ml 25°C Aizsargāt no gaismas
4 Diena
1845
Pierādījumu līmenis B+

Šļirce polipropilēna Ūdens injekcijām 140 mg/ml 4°C-8°C Aizsargāt no gaismas
9 Diena
1300
Bioloģiskā metode

Šļirce polipropilēna Ūdens injekcijām 5 mg/ml 2-8°C Aizsargāt no gaismas
2 Diena
4922
Pierādījumu līmenis D

Šļirce polipropilēna NaCl 0.9% + fenols 0.4% 5 mg/ml 2-8°C Aizsargāt no gaismas
2 Diena
4922
Pierādījumu līmenis D

Poliizoprēna elastomērs Nātrija hlorīds 0.9% 50 mg/ml 2-8°C Nav specifisks
6 Diena
3189
Pierādījumu līmenis D

Poliizoprēna elastomērs NaCl 0,9% tamponu citrāts 0,3% pH7 10 & 50 mg/ml 2-8°C Nav specifisks
13 Diena
4218
Pierādījumu līmenis A+

Poliizoprēna elastomērs NaCl 0,9% tamponu citrāts 0,3% pH7 10 & 50 mg/ml 32°C Nav specifisks
24 Stunda
4218
Pierādījumu līmenis A+

Poliizoprēna elastomērs NaCl 0,9% tamponu citrāts 0,3% pH7 5 & 60 mg/ml 2-8°C Aizsargāt no gaismas
6 Diena
4590
Pierādījumu līmenis A

Poliizoprēna elastomērs NaCl 0,9% tamponu citrāts 0,3% pH7 5 & 60 mg/ml 37°C Aizsargāt no gaismas
24 Stunda
4590
Pierādījumu līmenis A

Silikona elastomērs NaCl 0,9% tamponu citrāts 0,3% pH7 10 & 50 mg/ml 2-8°C Nav specifisks
13 Diena
4218
Pierādījumu līmenis A+

Silikona elastomērs NaCl 0,9% tamponu citrāts 0,3% pH7 10 & 50 mg/ml 32°C Nav specifisks
24 Stunda
4218
Pierādījumu līmenis A+


  Mentions Légales