最新更新 :
27/04/2026
抗菌薬   Flucloxacillin sodium  
注射薬
溶媒内の安定性 混合時の安定性 安定性に影響する因子 互換性 投与経路 引用文献 PDF
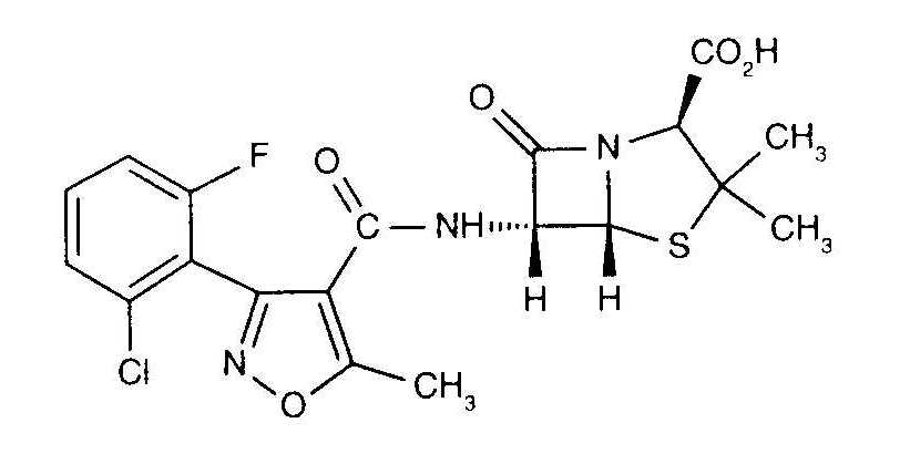
   化学構造  

商品名   商品名     

商品名、賦形剤は国、製薬会社ごとに異なることがあります

Astaph モロッコ
Betabiotic イタリア
DBL flucloxacillin sodium アーストラリア
Flix トルコ
Floxam モロッコ
Floxapen アメリカ, イタリア, オランダ, オーストリア, サウジアラビア, スイス, ベルギー, ポルトガル, ポーランド, モロッコ
Flucloxacillin アーストラリア, イギリス, イタリア, ドイツ
Flucloxacilline オランダ, フランス, ベルギー
Flucloxin ニュージーランド
Ladropen アメリカ
Stafoxil オランダ
Staphylex ドイツ
溶媒内の安定性   注射薬   溶媒内の安定性 : Flucloxacillin sodium     
容器 溶媒 濃度 温度 保管 安定期間 引用文献
ガラス 注射用水 5 mg/ml 2-8°C 遮光
7 日
4922
エビデンスレベル D

ガラス NaCl 0.9% + フェノール  0.4% 5 mg/ml 2-8°C 遮光
7 日
4922
エビデンスレベル D

ポリ塩化ビニル(PVC) NaCl 0,9% 120 mg/ml 2-8°C 特記なし
6 日
3189
エビデンスレベル D

ポリ塩化ビニル(PVC) NaCl 0,9% 20 mg/ml -27°C 遮光
270 日
1349
エビデンスレベル D

ポリ塩化ビニル(PVC) NaCl 0,9% 5 & 10 & 20 mg/ml 5°C 遮光
21 日
1494
エビデンスレベル D

ポリ塩化ビニル(PVC) グルコース5% 20 mg/ml -27°C 遮光
90 日
1349
エビデンスレベル D

ポリプロピレン NaCl 0,9% 10 mg/ml 2-8°C 遮光
14 日
1845
エビデンスレベル B+

ポリプロピレン NaCl 0,9% 10 mg/ml 25°C 遮光
4 日
1845
エビデンスレベル B+

シリンジ ポリプロピレン 注射用水 140 mg/ml 4°C-8°C 遮光
9 日
1300
生物学的分析

シリンジ ポリプロピレン 注射用水 5 mg/ml 2-8°C 遮光
2 日
4922
エビデンスレベル D

シリンジ ポリプロピレン NaCl 0.9% + フェノール  0.4% 5 mg/ml 2-8°C 遮光
2 日
4922
エビデンスレベル D

ポリイソプレンエラストマー NaCl 0,9% 50 mg/ml 2-8°C 特記なし
6 日
3189
エビデンスレベル D

ポリイソプレンエラストマー NaCl 0.9%タンポンクエン酸塩0.3%pH7 10 & 50 mg/ml 2-8°C 特記なし
13 日
4218
エビデンスレベル A+

ポリイソプレンエラストマー NaCl 0.9%タンポンクエン酸塩0.3%pH7 10 & 50 mg/ml 32°C 特記なし
24 時間
4218
エビデンスレベル A+

ポリイソプレンエラストマー NaCl 0.9%タンポンクエン酸塩0.3%pH7 5 & 60 mg/ml 2-8°C 遮光
6 日
4590
エビデンスレベル A

ポリイソプレンエラストマー NaCl 0.9%タンポンクエン酸塩0.3%pH7 5 & 60 mg/ml 37°C 遮光
24 時間
4590
エビデンスレベル A

シリコーンエラストマー NaCl 0.9%タンポンクエン酸塩0.3%pH7 10 & 50 mg/ml 2-8°C 特記なし
13 日
4218
エビデンスレベル A+

シリコーンエラストマー NaCl 0.9%タンポンクエン酸塩0.3%pH7 10 & 50 mg/ml 32°C 特記なし
24 時間
4218
エビデンスレベル A+


  Mentions Légales