Dernière mise à jour :
27/01/2026
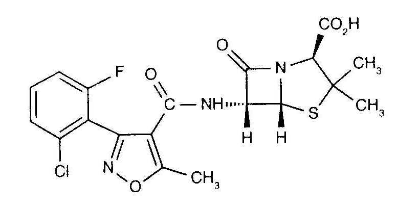
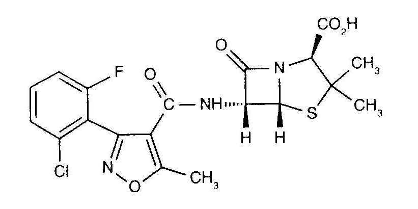
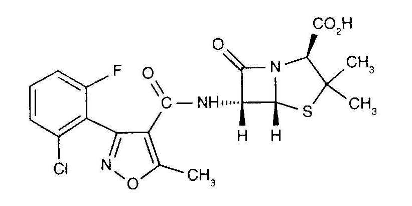
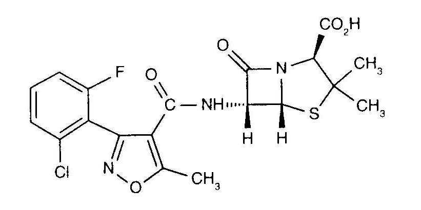
Antibiotique   Flucloxacillin sodium  
injectable
Stabilité des solutions Stabilité en mélange Facteur influençant la stabilité Compatibilités Voie d’administration Bibliographie pdf
   Structure chimique  

Noms commerciaux   Noms commerciaux     

Les noms commerciaux sont donnés à titre indicatif et la composition en excipients peut être différente selon les pays et selon les laboratoires

Astaph Maroc
Betabiotic Italie
DBL flucloxacillin sodium Australie
Flix Turquie
Floxam Maroc
Floxapen Arabie Saoudite, Autriche, Belgique, Etats Unis d’Amérique, Italie, Maroc, Pays bas, Pologne, Portugal, Suisse
Flucloxacillin Allemagne, Australie, Grande Bretagne, Italie
Flucloxacilline Belgique, France, Pays bas
Flucloxin Nouvelle Zélande
Ladropen Etats Unis d’Amérique
Stafoxil Pays bas
Staphylex Allemagne
Stabilité des solutions   injectable   Stabilité des solutions : Flucloxacillin sodium     
Contenant Solvant Concentration Température Conservation Durée de stabilité Bibliographie
Verre Eau pour préparation injectable 5 mg/ml 2-8°C A l’abri de la lumière
7 Jour
4922
Niveau de preuve D

Verre NaCl 0.9% + phénol 0.4% 5 mg/ml 2-8°C A l’abri de la lumière
7 Jour
4922
Niveau de preuve D

Polyvinyl chlorure Chlorure de sodium 0,9% 120 mg/ml 2-8°C Non précisée
6 Jour
3189
Niveau de preuve D

Polyvinyl chlorure Chlorure de sodium 0,9% 20 mg/ml -27°C A l’abri de la lumière
270 Jour
1349
Niveau de preuve D

Polyvinyl chlorure Chlorure de sodium 0,9% 5 & 10 & 20 mg/ml 5°C A l’abri de la lumière
21 Jour
1494
Niveau de preuve D

Polyvinyl chlorure Glucose 5% 20 mg/ml -27°C A l’abri de la lumière
90 Jour
1349
Niveau de preuve D

Polypropylène Chlorure de sodium 0,9% 10 mg/ml 2-8°C A l’abri de la lumière
14 Jour
1845
Niveau de preuve B +

Polypropylène Chlorure de sodium 0,9% 10 mg/ml 25°C A l’abri de la lumière
4 Jour
1845
Niveau de preuve B +

Seringue polypropylène Eau pour préparation injectable 140 mg/ml 4°C-8°C A l’abri de la lumière
9 Jour
1300
Méthode biologique

Seringue polypropylène Eau pour préparation injectable 5 mg/ml 2-8°C A l’abri de la lumière
2 Jour
4922
Niveau de preuve D

Seringue polypropylène NaCl 0.9% + phénol 0.4% 5 mg/ml 2-8°C A l’abri de la lumière
2 Jour
4922
Niveau de preuve D

Elastomère en polyisoprène Chlorure de sodium 0,9% 50 mg/ml 2-8°C Non précisée
6 Jour
3189
Niveau de preuve D

Elastomère en polyisoprène NaCl 0.9% tampon citrate 0.3% pH7 10 & 50 mg/ml 2-8°C Non précisée
13 Jour
4218
Niveau de preuve A +

Elastomère en polyisoprène NaCl 0.9% tampon citrate 0.3% pH7 10 & 50 mg/ml 32°C Non précisée
24 Heure
4218
Niveau de preuve A +

Elastomère en polyisoprène NaCl 0.9% tampon citrate 0.3% pH7 5 & 60 mg/ml 2-8°C A l’abri de la lumière
6 Jour
4590
Niveau de preuve A

Elastomère en polyisoprène NaCl 0.9% tampon citrate 0.3% pH7 5 & 60 mg/ml 37°C A l’abri de la lumière
24 Heure
4590
Niveau de preuve A

Elastomère en silicone NaCl 0.9% tampon citrate 0.3% pH7 10 & 50 mg/ml 2-8°C Non précisée
13 Jour
4218
Niveau de preuve A +

Elastomère en silicone NaCl 0.9% tampon citrate 0.3% pH7 10 & 50 mg/ml 32°C Non précisée
24 Heure
4218
Niveau de preuve A +


  Mentions Légales