Son güncelleme :
27/04/2026
Antiviral   Foscarnet sodium  
Enjeksiyon
Çözeltilerin stabilitesi Karışımlardaki stabilitesi Stabiliteyi etkileyen faktörler Uyumluluk Uygulama yöntemi Kaynaklar pdf
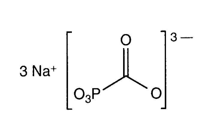
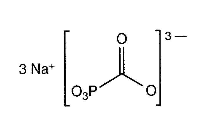
   Kimyasal yapı   

Ticari isim   Ticari isim     

Trade names are indicative and excipients composition can be different depending on the country and manufacturers

Foscarnet Amerika Birleşik Devletleri, Arjantin, Ekvador, İspanya, Kolombiya, Meksika, Peru, Portekiz, Şili
Foscavir Almanya, Amerika Birleşik Devletleri, Avustralya, Avusturya, Belçika, Büyük Britanya, Fransa, Hollanda, İspanya, İsveç, İsviçre, İtalya, Lüksemburg, Macaristan, yeni Zelanda, Yunanistan

Stabiliteyi etkileyen faktörler    Enjeksiyon    Stabiliteyi etkileyen faktörler : Foscarnet sodium        
Kaynaklar
Çözücü Glukoz %30 İndükler Parçalanma 3662
Isı 4°C İndükler Çökme 3662

  Mentions Légales