最新更新 :
27/04/2026
抗病毒药   Foscarnet sodium  
注射液
溶液稳定性 混合物稳定性 影响稳定性的因素 兼容性 用药途径 引用文献 PDF
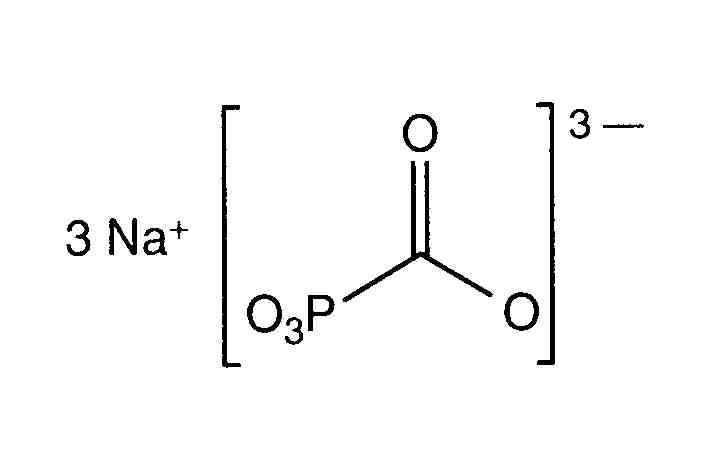
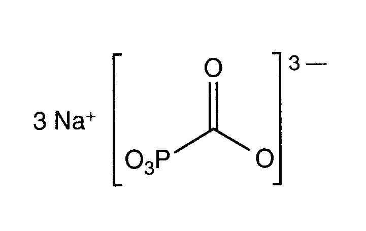
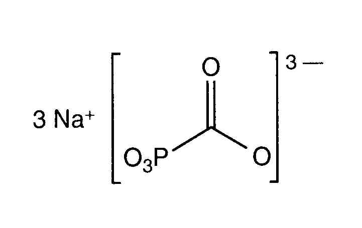
   化学式  

商品名   商品名     

商品名仅供参考, 药品所用的辅料可能依国家或厂商不同有所不同。

Foscarnet 厄瓜多尔, 哥伦比亚, 墨西哥, 智利, 秘鲁, 美国, 葡萄牙, 西班牙, 阿根廷
Foscavir 匈牙利, 卢森堡, 奥地利, 希腊, 德国, 意大利, 新西蘭, 比利时, 法国, 澳大利亚, 瑞典, 瑞士, 美国, 英国, 荷兰, 西班牙

影响稳定性的因素   注射液   影响稳定性的因素 : Foscarnet sodium        
引用文献
溶剂 葡萄糖30% 诱导 分解 3662
温度 4°C 诱导 沉淀 3662

  Mentions Légales