Ostatnia aktualizacja :
27/11/2025
Lek przeciwwirusowy   Foscarnet sodium  
Injekcje
Trwałość roztworów Trwałość w mieszaninie Czynnik wpływający na trwałość Zgodność Sposób podania Bibliografia pdf
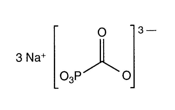
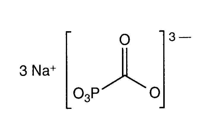
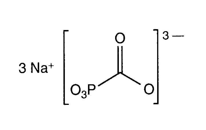
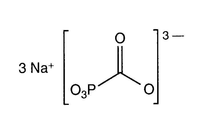
   Struktura chemiczna  

Nazwa handlowa   Nazwa handlowa     

Trade names are indicative and excipients composition can be different depending on the country and manufacturers

Foscarnet Argentyna, Chile, Ekwador, Hiszpania, KolumbiaKolumbia, Meksyk, Peru, Portugalia, Stany Zjednoczone Ameryki
Foscavir Australia, Austria, Belgia, Francja , Grecja, Hiszpania, Holandia, Luksemburg, Niemcy, nowa Zelandia, Stany Zjednoczone Ameryki, Szwajcaria, Szwecja, Węgry, Wielka Brytania, Włochy

Czynnik wpływający na trwałość   Injekcje   Czynnik wpływający na trwałość : Foscarnet sodium        
Bibliografia
Rozpuszczalnik Glukoza 30% Wywołuje Degradacja 3662
Temperatura 4°C Wywołuje Precypitacja 3662

  Mentions Légales