آخر تحديث :
27/04/2026
المضادة للفيروسات   Foscarnet sodium  
حقن
الاستقرار في حلول استقرار مخاليط العوامل التي تؤثر على الاستقرار التوافق طريقة التعاطي مراجع pdf
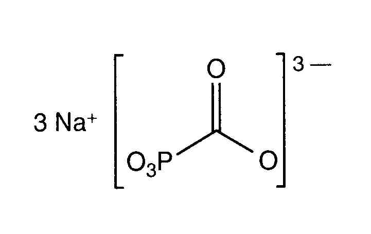
   التركيب الكيميائي  

حجز الاسم التجاري   حجز الاسم التجاري     

تحذير الأسماء التجاريه المختلفه قد تحتوي علي محتوي إضافات مختلفة حسب الدوله و المعمل

Foscarnet إسبانيا, الأرجنتين, الإكوادور, البرتغال, المكسيك, الولايات المتحدة, بيرو, تشيلي, كولومبيا
Foscavir أستراليا, ألمانيا, إسبانيا, إيطاليا, السويد, النمسا, الولايات المتحدة, بريطانيا العظمي, بلجيكا, زيلاندا الجديدة, سويسرا, فرنسا, لوكسمبورغ, هنغاريا, هولندا, يونان

العوامل التي تؤثر على الاستقرار   حقن   العوامل التي تؤثر على الاستقرار : Foscarnet sodium        
مراجع
مذيب الجلوكوز %30 الحث انحلال 3662
درجة الحرارة 4°C الحث ترسيب 3662

  Mentions Légales