zadnja posodobitev :
27/04/2026
Protivirusno zdravilo   Foscarnet sodium  
Brizgalka
Stabilnost raztopine Stabilnost mešanice Faktorji, ki vplivajo na stabilnost Kompatibilnost način aplikacije Viri pdf
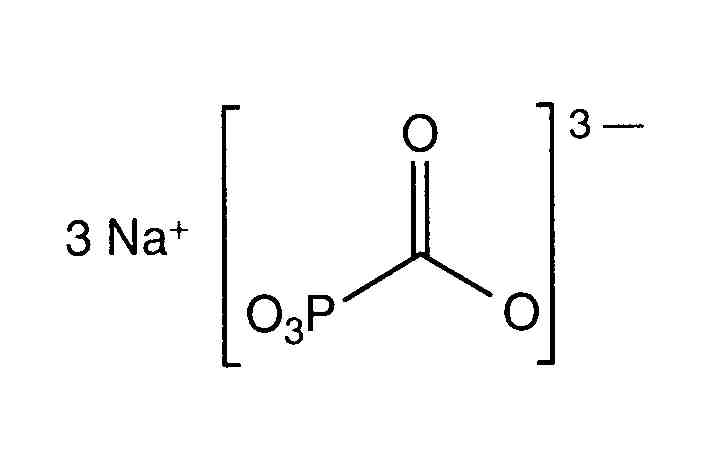
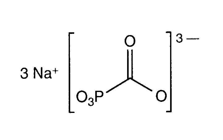
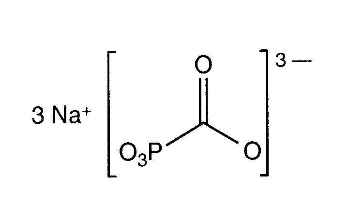
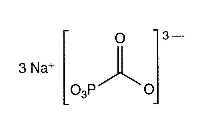
   Kemična formula  

Lastniško ime   Lastniško ime     

Sestava pomožnih snovi je med paralelami lahko različna

Foscarnet Argentina, Čile, Ekvador, Kolumbija, Mehika, Peru, Portugalska, Španija, Združene države Amerike
Foscavir Avstralija, Avstrija, Belgija, Francija, Grčija, Italija, Luksemburg, Madžarska, Nemčija, Nizozemska, nova Zelandija, Španija, Švedska, Švica, Velika Britanija, Združene države Amerike

Faktorji, ki vplivajo na stabilnost   Brizgalka   Faktorji, ki vplivajo na stabilnost : Foscarnet sodium        
Viri
Topilo Glukoza 30% Inducirati Degradacija 3662
Temperatura 4°C Inducirati Sedimentacija 3662

  Mentions Légales