Последнее обновление :
27/04/2026
Противовирусное средство   Foscarnet sodium  
Инъекция
Стабильность растворов Стабильность смесей Факторы, которые влияют на стабильность Совместимость Способы введения Библиография pdf
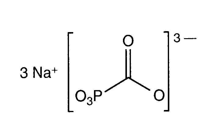
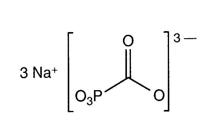
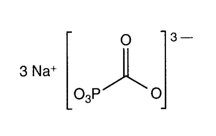
   Химическая структура  

Товарное название   Товарное название     

Trade names are indicative and excipients composition can be different depending on the country and manufacturers

Foscarnet Аргентина, Испания, Колумбия, Мексика, Перу, Португалия, Соединённые Штаты Америки, чили, Эквадор
Foscavir Австралия, Австрия, Бельгия, Великобритания, Венгрия, Германия, Голландия, Греция, Испания, Италия, Люксембург, новая Зеландия, Соединённые Штаты Америки, Франция, Швейцария, Швеция

Факторы, которые влияют на стабильность   Инъекция   Факторы, которые влияют на стабильность : Foscarnet sodium        
Ссылки
Растворитель Глюкоза 30% Стимулирует Деградация 3662
Температура 4°C Стимулирует Осадок 3662

  Mentions Légales