Ultimo aggiornamento :
27/11/2025
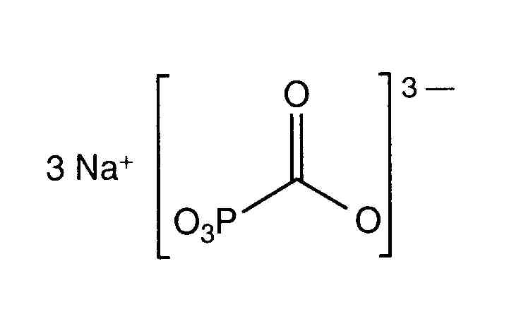
Antivirale   Foscarnet sodium  
Iniezione
Stabilità in soluzione Stabilità in miscela Fattori che influenzano la stabilità Compatibilità metodo di iniezione Bibliografia pdf
   Struttura chimica  

Nome commerciale   Nome commerciale     

Trade names are indicative and excipients composition can be different depending on the country and manufacturers

Foscarnet Argentina, Chile, Colombia, Ecuador, Messico, Perù, Portogallo, Spagna, Stati Uniti d’America
Foscavir Australia, Austria, Belgio, Francia, Germania, Gran Bretagna, Grecia, Italia, Lussemburgo, nuova Zelanda, Paesi Bassi, Spagna, Stati Uniti d’America, Svezia, Svizzera, Ungheria

Fattori che influenzano la stabilità   Iniezione   Fattori che influenzano la stabilità : Foscarnet sodium        
Bibliografia
Solvente Glucosio 30% Provoca Degradazione 3662
Temperatura 4°C Provoca Precipitazione 3662

  Mentions Légales