Siste oppdatering :
27/04/2026
Antiviralt middel   Foscarnet sodium  
Injeksjon
Oppløsningsstabilitet Stabilitet i blandinger Faktorer som påvirker stabiliteten Kompatibilitet Administrasjonsmåte Referanser pdf
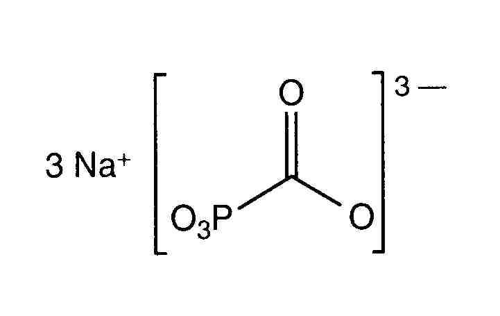
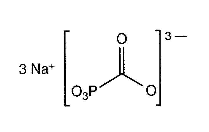
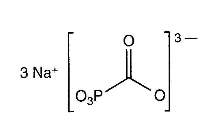
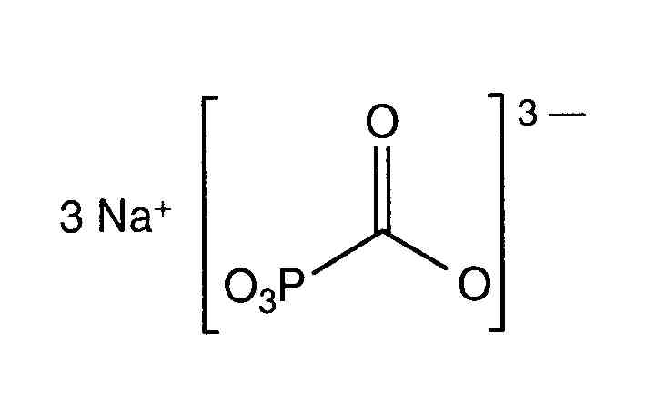
   Kjemisk struktur  

Handelsnavn   Handelsnavn     

Handelsnavn er veiledende og sammensetning av hjelpestoffer kan være forskjellig avhengig av land og produsent

Foscarnet Argentina, Chile, Colombia, Ecuador, Mexico, Peru, Portugal, Spania, USA
Foscavir Australia, Belgia, Frankrike, Hellas, Italia, Luxembourg, Nederland, New Zealand, Spania, Storbritannia, Sveits, Sverige, Tyskland, Ungarn, USA, Østerrike

Faktorer som påvirker stabiliteten   Injeksjon   Faktorer som påvirker stabiliteten : Foscarnet sodium        
Referanser
Oppløsningsmiddel Glukose 30 % Induserer Degradasjon 3662
Temperatur 4°C Induserer Utfelling 3662

  Mentions Légales