Seneste opdatering :
27/11/2025
Antiviral   Foscarnet sodium  
Injektion
Stabilitet i (vandige) opløsninger Stabilitet i blandinger Faktorer der påvirker stabiliteten Kompatibilitet Administrationsvej Bibliografi pdf
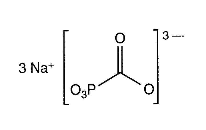
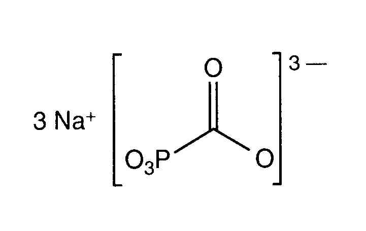
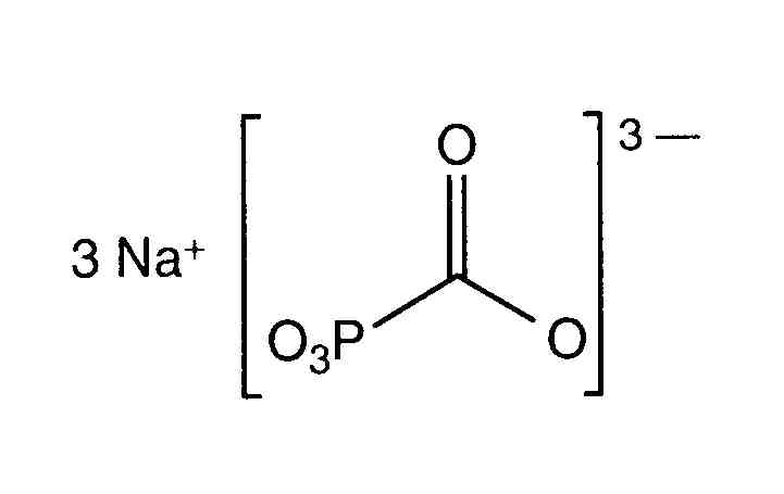
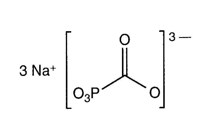
   Kemisk struktur  

Handelsnavn   Handelsnavn     

Handel navne er vejledende og hjælpestoffer sammensætning kan være forskellig afhængigt af landet og laboratorier

Foscarnet Argentina, Chile, Colombia, Ecuador, Marokko, Mexico, Portugal, Spanien, USA
Foscavir Australien, Belgien, Frankrig, Grækenland, Holland, Italien, Luxemborg, New Zealand, Schweiz, Spanien, Storbritanien, Sverige, Tyskland, Ungarn, USA, Østrig

Faktorer der påvirker stabiliteten   Injektion   Faktorer der påvirker stabiliteten : Foscarnet sodium        
Bibliografi
Opløsningsmiddel 30% Glukose Fremkalde Nedbrydning 3662
Temperatur 4°C Fremkalde Udfældning 3662

  Mentions Légales