Cập nhật lần cuối :
27/11/2025
Thuốc trợ tim   Digoxin  
Dạng tiêm
Tính ổn định của các dung dịch Độ ổn định khi trộn lẫn Những yếu tố ảnh hưởng đến độ ổn định Khả năng tương thích Đường dùng Tài liệu tham khảo Pdf
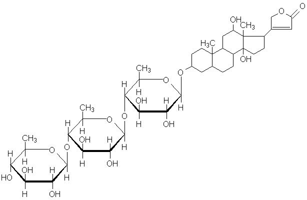
   Cấu trúc hóa học  

Tên thương mại   Tên thương mại     

Các tên thương mại được cung cấp và thành phần tá dược có thể khác nhau giữa các quốc gia và các hãng dược

Cardixin Ả Rập
Celoxin Ấn Độ
Digibind Hoa Kỳ, new zealand
Digocard Argentina, Ecuador
Digosin Nhật
Digoxin Anh, Argentina, Ba Lan, Canada, Ecuador, Hoa Kỳ, Hungary, Iran, Phần Lan, Thụy Điển, Đan Mạch
Digoxina Argentina, Ecuador, Mexico, Tây Ban Nha, Venezuela
Digoxine Hy Lạp, Pháp, Thụy Sỹ
Geoxin Ấn Độ
Lanibos Ả Rập Saudi
Lanicor Đức
Lanoxin Ả Rập, Ả Rập Saudi, Anh, Bỉ, Bồ Đào Nha, Chile, Hà Lan, Hoa Kỳ, Iran, Ireland, Luxembourg, Malaysia, Na Uy, new zealand, United Arab Emirates, Ý
Loxinan Mexico
Tính ổn định của các dung dịch   Dạng tiêm   Tính ổn định của các dung dịch : Digoxin     
Bao bì Dung môi Nồng độ Nhiệt độ Bảo quản Thời gian ổn định Mục lục
Thủy tinh NaCl 0,9% 2,5 µg/ml 23-26°C Ánh sáng
48 Giờ
618
Phương pháp sinh học

Thủy tinh NaCl 0,9% 2,5 µg/ml 4°C Tránh ánh sáng
48 Giờ
618
Phương pháp sinh học

Thủy tinh NaCl 0,9% 50 µg/ml 23-27°C Ánh sáng
180 Ngày
4690
Cấp độ bằng chứng B+

Thủy tinh NaCl 0,9% 50 µg/ml 3-7°C Ánh sáng
180 Ngày
4690
Cấp độ bằng chứng B+

Thủy tinh Glucose 5% 2,5 µg/ml 23-26°C Ánh sáng
48 Giờ
618
Phương pháp sinh học

Thủy tinh Glucose 5% 2,5 µg/ml 4°C Tránh ánh sáng
48 Giờ
618
Phương pháp sinh học

Thủy tinh Dung dịch Ringer’s lactate 2,5 µg/ml 23°C-26°C Ánh sáng
6 Giờ
618
Phương pháp sinh học


  Mentions Légales