Ostatnia aktualizacja :
27/11/2025
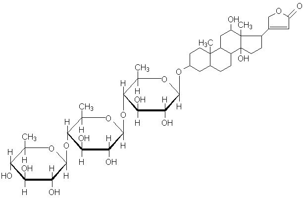
Lek kardiotoniczny   Digoxin  
Injekcje
Trwałość roztworów Trwałość w mieszaninie Czynnik wpływający na trwałość Zgodność Sposób podania Bibliografia pdf
   Struktura chemiczna  

Nazwa handlowa   Nazwa handlowa     

Trade names are indicative and excipients composition can be different depending on the country and manufacturers

Cardixin Egipt
Celoxin Indie
Digibind nowa Zelandia, Stany Zjednoczone Ameryki
Digocard Argentyna, Ekwador
Digosin Japonia
Digoxin Argentyna, Dania, Ekwador, Finlandia, Iran, Kanada, Polska, Stany Zjednoczone Ameryki, Szwecja, Węgry, Wielka Brytania
Digoxina Argentyna, Ekwador, Hiszpania, Meksyk, Wenezuela
Digoxine Francja , Grecja, Szwajcaria
Geoxin Indie
Lanibos Arabia Saudyjska
Lanicor Niemcy
Lanoxin Arabia Saudyjska, Belgia, Chile, Egipt, Holandia, Iran, Irlandia, Luksemburg, Malezja, Norwegia, nowa Zelandia, Portugalia, Stany Zjednoczone Ameryki, Wielka Brytania, Włochy, Zjednoczone Emiraty Arabskie
Loxinan Meksyk
Trwałość roztworów   Injekcje   Trwałość roztworów : Digoxin     
Pojemnik Rozpuszczalnik Stężenie Temperatura Przechowywanie Czas trwania stabilności Bibliografia
Szkło Chlorek sodu 0,9% 2,5 µg/ml 23-26°C światło
48 Godzina
618
Analiza biologiczna

Szkło Chlorek sodu 0,9% 2,5 µg/ml 4°C Chronić od światła
48 Godzina
618
Analiza biologiczna

Szkło Chlorek sodu 0,9% 50 µg/ml 23-27°C światło
180 Dzień
4690
Poziom wiarygodności B+

Szkło Chlorek sodu 0,9% 50 µg/ml 3-7°C światło
180 Dzień
4690
Poziom wiarygodności B+

Szkło Glukoza 5% 2,5 µg/ml 23-26°C światło
48 Godzina
618
Analiza biologiczna

Szkło Glukoza 5% 2,5 µg/ml 4°C Chronić od światła
48 Godzina
618
Analiza biologiczna

Szkło Roztwór Ringera z mleczanem sodowym 2,5 µg/ml 23°C-26°C światło
6 Godzina
618
Analiza biologiczna


  Mentions Légales