Siste oppdatering :
27/11/2025
Hjertestimulerende   Digoxin  
Injeksjon
Oppløsningsstabilitet Stabilitet i blandinger Faktorer som påvirker stabiliteten Kompatibilitet Administrasjonsmåte Referanser pdf
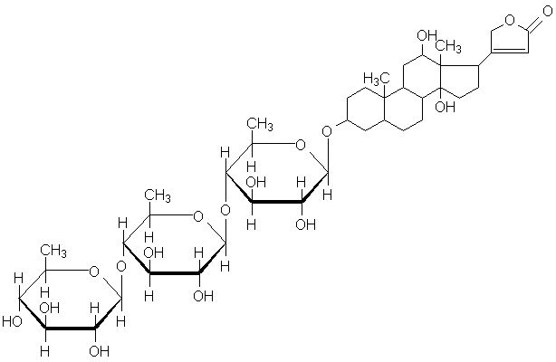
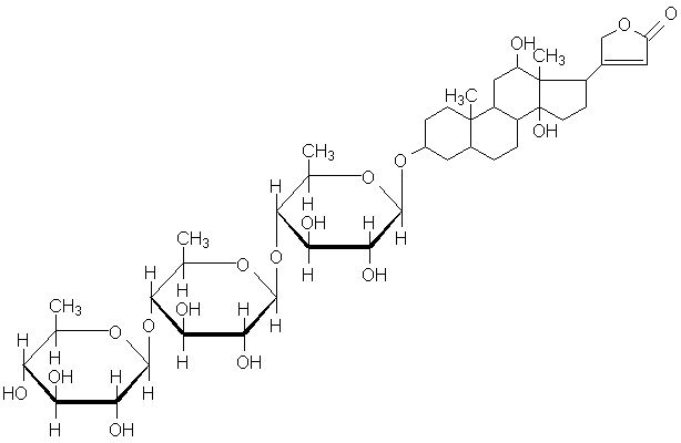
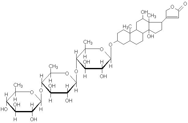
   Kjemisk struktur  

Handelsnavn   Handelsnavn     

Handelsnavn er veiledende og sammensetning av hjelpestoffer kan være forskjellig avhengig av land og produsent

Cardixin Egypt
Celoxin India
Digibind New Zealand, USA
Digocard Argentina, Ecuador
Digosin Japan
Digoxin Argentina, Canada, Danmark, Ecuador, Finland, Iran, Polen, Storbritannia, Sverige, Ungarn, USA
Digoxina Argentina, Ecuador, Mexico, Spania, Venezuela
Digoxine Frankrike, Hellas, Sveits
Geoxin India
Lanibos Saudi-Arabia
Lanicor Tyskland
Lanoxin Belgia, Chile, De forente arabiske emirater, Egypt, Iran, Irland, Italia, Luxembourg, Malaysia, Nederland, New Zealand, Norge, Portugal, Saudi-Arabia, Storbritannia, USA
Loxinan Mexico
Oppløsningsstabilitet   Injeksjon   Oppløsningsstabilitet : Digoxin     
Beholder Oppløsningsmiddel Konsentrasjon Temperatur Oppbevaring Varighet av stabilitet Referanser
Glass Natriumklorid 0,9 % 2,5 µg/ml 23-26°C Lys
48 Tid
618
Biologisk metode

Glass Natriumklorid 0,9 % 2,5 µg/ml 4°C Beskyttes mot lys
48 Tid
618
Biologisk metode

Glass Natriumklorid 0,9 % 50 µg/ml 23-27°C Lys
180 Dag
4690
Bevisgrad B+

Glass Natriumklorid 0,9 % 50 µg/ml 3-7°C Lys
180 Dag
4690
Bevisgrad B+

Glass Glukose 5 % 2,5 µg/ml 23-26°C Lys
48 Tid
618
Biologisk metode

Glass Glukose 5 % 2,5 µg/ml 4°C Beskyttes mot lys
48 Tid
618
Biologisk metode

Glass Ringers laktatoppløsning 2,5 µg/ml 23°C-26°C Lys
6 Tid
618
Biologisk metode


  Mentions Légales