Ultimo aggiornamento :
27/11/2025
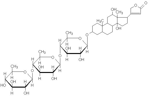
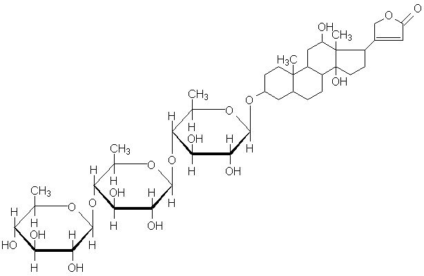
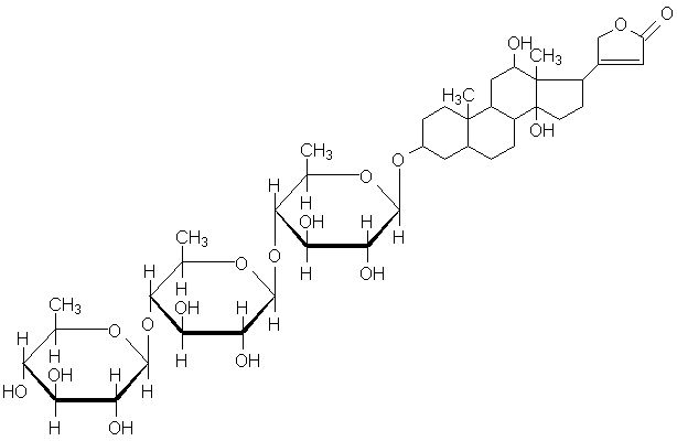
Cardiotonico   Digoxin  
Iniezione
Stabilità in soluzione Stabilità in miscela Fattori che influenzano la stabilità Compatibilità metodo di iniezione Bibliografia pdf
   Struttura chimica  

Nome commerciale   Nome commerciale     

Trade names are indicative and excipients composition can be different depending on the country and manufacturers

Cardixin Egitto
Celoxin India
Digibind nuova Zelanda, Stati Uniti d’America
Digocard Argentina, Ecuador
Digosin Giappone
Digoxin Argentina, Canada, Danimarca, Ecuador, Finlandia, Gran Bretagna, Iran, Polonia, Stati Uniti d’America, Svezia, Ungheria
Digoxina Argentina, Ecuador, Messico, Spagna, Venezuela
Digoxine Francia, Grecia, Svizzera
Geoxin India
Lanibos Arabia Saudita
Lanicor Germania
Lanoxin Arabia Saudita, Belgio, Chile, Egitto, Emirati Arabi Uniti, Gran Bretagna, Iran, Irlanda, Italia, Lussemburgo, Malaysia, Norvegia, nuova Zelanda, Paesi Bassi, Portogallo, Stati Uniti d’America
Loxinan Messico
Stabilità in soluzione   Iniezione   Stabilità in soluzione : Digoxin     
contenitore Solvente Concentrazione Temperatura Conservazione Durata della stabilità Bibliografia
Vetro Cloruro di sodio 0,9% 2,5 µg/ml 23-26°C Luce
48 Ora
618
Analisi biologica

Vetro Cloruro di sodio 0,9% 2,5 µg/ml 4°C Al riparo dalla luce
48 Ora
618
Analisi biologica

Vetro Cloruro di sodio 0,9% 50 µg/ml 23-27°C Luce
180 Giorno
4690
Livello di evidenza B+

Vetro Cloruro di sodio 0,9% 50 µg/ml 3-7°C Luce
180 Giorno
4690
Livello di evidenza B+

Vetro Glucosio 5% 2,5 µg/ml 23-26°C Luce
48 Ora
618
Analisi biologica

Vetro Glucosio 5% 2,5 µg/ml 4°C Al riparo dalla luce
48 Ora
618
Analisi biologica

Vetro Ringer lattato 2,5 µg/ml 23°C-26°C Luce
6 Ora
618
Analisi biologica


  Mentions Légales