Zadnji put ažurirano :
27/11/2025
kardiotonici   Digoxin  
injekcija
Stabilizacija rješenja Stabilnost mješavine Stabilizacijski faktor Kompatibilnosti način davanja lijeka Bibliografija pdf
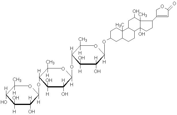
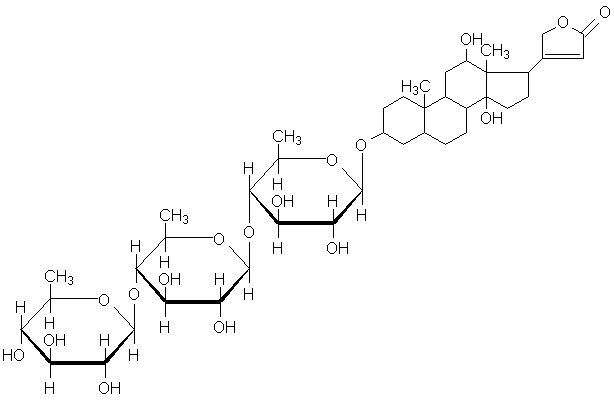
   Kemijska struktura  

Nekomercijalni   Nekomercijalni     

Zaštićeni nazivi su indikativni i sastav ekscipijensa može biti različit ovisno o državi i laboratorijima

Cardixin Egipat
Celoxin Indija
Digibind novi Zeland, S A D
Digocard Argentina, Ekvador
Digosin Japan
Digoxin Argentina, Danska, Ekvador, Finska, Iran, Kanada, Madžarska, Poljska, S A D, Švedska, Velika Britanija
Digoxina Argentina, Ekvador, Meksiko, Španjolska, Venecuela
Digoxine Francuska, Grčka, Švicarska
Geoxin Indija
Lanibos Saudijska Arabija
Lanicor Njemačka
Lanoxin Belgija, Čile, Egipat, Iran, Irska, Italija, Luksemburg, Malezija, Nizozemska, Norveška, novi Zeland, Portugal, S A D, Saudijska Arabija, Ujedinjeni Arapski Emirati, Velika Britanija
Loxinan Meksiko
Stabilizacija rješenja   injekcija   Stabilizacija rješenja : Digoxin     
Kontejner sredstvo za rastapanje koncentracija temperatura Konzerviranje Trajanje stabilnosti Bibliografija
čaša natrijumkorid 0,9% 2,5 µg/ml 23-26°C svjetlost
48 sat
618
Biološka metoda

čaša natrijumkorid 0,9% 2,5 µg/ml 4°C Zaštićeno od svjetlosti
48 sat
618
Biološka metoda

čaša natrijumkorid 0,9% 50 µg/ml 23-27°C svjetlost
180 dan
4690
Razina dokaza B+

čaša natrijumkorid 0,9% 50 µg/ml 3-7°C svjetlost
180 dan
4690
Razina dokaza B+

čaša glukoza 5% 2,5 µg/ml 23-26°C svjetlost
48 sat
618
Biološka metoda

čaša glukoza 5% 2,5 µg/ml 4°C Zaštićeno od svjetlosti
48 sat
618
Biološka metoda

čaša Ringer laktat 2,5 µg/ml 23°C-26°C svjetlost
6 sat
618
Biološka metoda


  Mentions Légales