Τελευταία ενημέρωση :
27/04/2026
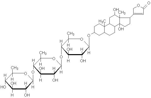
Καρδιοτονωτικό   Digoxin  
Ενέσιμο
Σταθερότητα διαλυμάτων Σταθερότητα σε μίγματα Παράγοντας που επηρεάζει τη σταθερότητα Συμβατότητες Τρόπος χορήγησης Βιβλιογραφία pdf
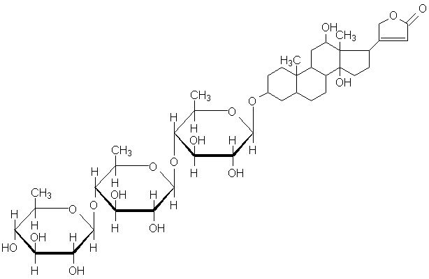
   χημική δομή  

Εμπορική ονομασία   Εμπορική ονομασία     

Οι εμπορικές ονομασίες είναι ενδεικτικές και η σύνθεση των εκδόχων μπορεί να διαφέρει ανάλογα με τη χώρα και τα εργαστήρια

Cardixin Αίγυπτος
Celoxin Ινδία
Digibind Η.Π.Α., νέα Ζηλανδία
Digocard Αργεντινή, Εκουαδόρ
Digosin Ιαπωνία
Digoxin Αργεντινή, Δανία, Εκουαδόρ, Η.Π.Α., Ιράν, Καναδάς, Μεγάλη Βρετανία, Ουγγαρία, Πολωνία, Σουηδία, Φινλανδία
Digoxina Αργεντινή, Βενεζουέλα, Εκουαδόρ, Ισπανία, Μεξικό
Digoxine Γαλλία, Ελβετία, Ελλάδα
Geoxin Ινδία
Lanibos Σαουδική Αραβία
Lanicor Γερμανία
Lanoxin Yhdistyneet arabiemiirikunnat, Αίγυπτος, Βέλγιο, Η.Π.Α., Ιράν, Ιρλανδία, Ιταλία, Λουξεμβούργο, Μαλαισία, Μεγάλη Βρετανία, νέα Ζηλανδία, Νορβηγία, Ολλανδία, Πορτογαλία, Σαουδική Αραβία, Χιλή
Loxinan Μεξικό
Σταθερότητα διαλυμάτων   Ενέσιμο   Σταθερότητα διαλυμάτων : Digoxin     
Υποδοχέας Διαλυτικό Συγκέντρωση Θερμοκρασία Αποθήκευση Διάρκεια σταθερότητας Βιβλιογραφία
Ύαλος Χλωριούχο νάτριο 0,9% 2,5 µg/ml 23-26°C Φως
48 Ώρα
618
Βιολογική ανάλυση

Ύαλος Χλωριούχο νάτριο 0,9% 2,5 µg/ml 4°C Προστατεύετε από το φως
48 Ώρα
618
Βιολογική ανάλυση

Ύαλος Χλωριούχο νάτριο 0,9% 50 µg/ml 23-27°C Φως
180 Ημέρα
4690
Επίπεδο των αποδεικτικών στοιχείων B+

Ύαλος Χλωριούχο νάτριο 0,9% 50 µg/ml 3-7°C Φως
180 Ημέρα
4690
Επίπεδο των αποδεικτικών στοιχείων B+

Ύαλος Γλυκόζη 5% 2,5 µg/ml 23-26°C Φως
48 Ώρα
618
Βιολογική ανάλυση

Ύαλος Γλυκόζη 5% 2,5 µg/ml 4°C Προστατεύετε από το φως
48 Ώρα
618
Βιολογική ανάλυση

Ύαλος Γαλακτικό διάλυμα Ringer 2,5 µg/ml 23°C-26°C Φως
6 Ώρα
618
Βιολογική ανάλυση


  Mentions Légales