Останнє оновлення :
27/04/2026
Кардіотонічну   Digoxin  
ін'єкція
Стійкість в розчинах Стійкість сумішей Фактори, що впливають на стабільність Сумісність Шлях введення Список літератури pdf
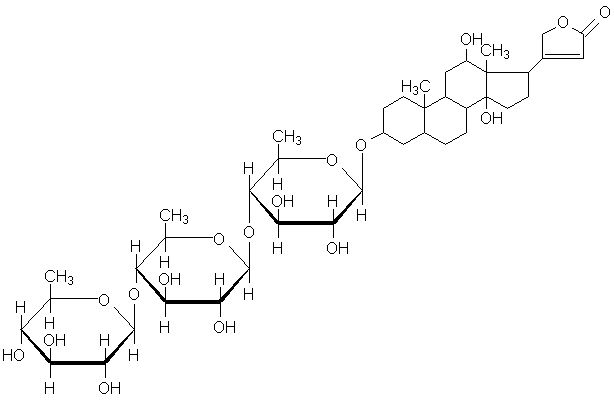
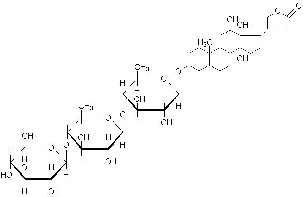
   Хімічна структура  

Торгова назва   Торгова назва     

Торгові назви є орієнтовними, а склад допоміжних речовин може бути різним залежно від країни та виробника

Cardixin Єгипет
Celoxin Індія
Digibind Нова Зеландія, Сполучені Штати Америки
Digocard Аргентина, Еквадор
Digosin Японія
Digoxin Іран, Аргентина, Великобританія, Данія, Еквадор, Канада, Польща, Сполучені Штати Америки, Угорщина, Фінляндія, Швеція
Digoxina Іспанія, Аргентина, Венесуела, Еквадор, Мексика
Digoxine Греція, Франція, Швейцарія
Geoxin Індія
Lanibos Саудівська Аравія
Lanicor Німеччина
Lanoxin Єгипет, Іран, Ірландія, Італія, Бельгія, Великобританія, Люксембург, Малайзія, Нідерланди, Нова Зеландія, Норвегія, Об'єднані Арабські Емірати, Португалія, Саудівська Аравія, Сполучені Штати Америки, Чилі
Loxinan Мексика
Стійкість в розчинах   ін'єкція   Стійкість в розчинах : Digoxin     
Контейнер Розчинник Концентрація температура Зберігання Тривалість стабільності Список літератури
скло Натрію хлорид 0,9% 2,5 µg/ml 23-26°C світло
48 годину
618
Біологічний аналіз

скло Натрію хлорид 0,9% 2,5 µg/ml 4°C Берегти від світла
48 годину
618
Біологічний аналіз

скло Натрію хлорид 0,9% 50 µg/ml 23-27°C світло
180 День
4690
Рівень доказовості B+

скло Натрію хлорид 0,9% 50 µg/ml 3-7°C світло
180 День
4690
Рівень доказовості B+

скло Глюкоза 5% 2,5 µg/ml 23-26°C світло
48 годину
618
Біологічний аналіз

скло Глюкоза 5% 2,5 µg/ml 4°C Берегти від світла
48 годину
618
Біологічний аналіз

скло Розчин лактату Рінгера 2,5 µg/ml 23°C-26°C світло
6 годину
618
Біологічний аналіз


  Mentions Légales