Última actualização :
27/04/2026
Cardiotónico   Digoxin  
injetável
Estabilidade em soluções simples Estabilidade em misturas Factores que afectam a sua estabilidade Compatibilidade Método de administração Bibliografía pdf
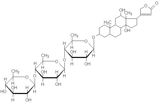
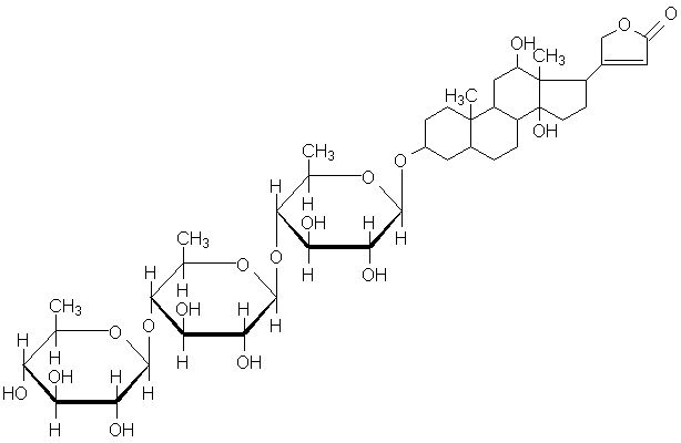
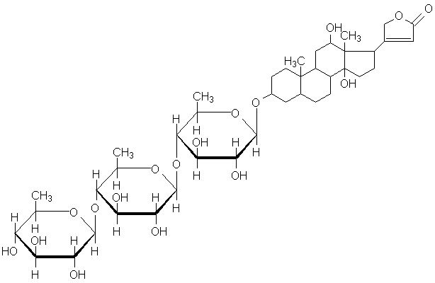
   estrutura química  

Nomes comerciais nos diversos países   Nomes comerciais nos diversos países     

OS NOMES COMERCIAIS SÃO INDICATIVOS E OS EXCIPIENTES DA FORMULAÇÃO PODEM SER DIFERENTES CONFORME O PAÍS E FABRICANTE.

Cardixin Egipto
Celoxin Índia
Digibind Estados Unidos de América, nova Zelândia
Digocard Argentina, Equator
Digosin Japón
Digoxin Argentina, Canadá, Dinamarca, Equator, Estados Unidos de América, Finlandia, Gran-bretanha, Hungria, Irã, Polonia, Suècia
Digoxina Argentina, Equator, Espanha, México, Venezuela
Digoxine França, Grècia, Suicia
Geoxin Índia
Lanibos Arábia Saudita
Lanicor Alemanha
Lanoxin Arábia Saudita, Bélgica, Chilli, Egipto, Emirados Árabes Unidos, Estados Unidos de América, Gran-bretanha, Irã, Irlanda, Itália, Luxemburgo, Malásia, Noruega, nova Zelândia, Países Baixos, Portugal
Loxinan México
Estabilidade em soluções simples   injetável   Estabilidade em soluções simples : Digoxin     
Embalagem Solvente concentração temperatura conservação Duração da estabilidade Bibliografia
vidro cloreto de sódio 0,9% 2,5 µg/ml 23-26°C luz
48 hora
618
análise biológica

vidro cloreto de sódio 0,9% 2,5 µg/ml 4°C ao abrigo da luz
48 hora
618
análise biológica

vidro cloreto de sódio 0,9% 50 µg/ml 23-27°C luz
180 dia
4690
Nível de evidência B+

vidro cloreto de sódio 0,9% 50 µg/ml 3-7°C luz
180 dia
4690
Nível de evidência B+

vidro Glucose 5% 2,5 µg/ml 23-26°C luz
48 hora
618
análise biológica

vidro Glucose 5% 2,5 µg/ml 4°C ao abrigo da luz
48 hora
618
análise biológica

vidro Ringer lactato 2,5 µg/ml 23°C-26°C luz
6 hora
618
análise biológica


  Mentions Légales