viimane versioon :
27/04/2026
Kardiotooniline ravim   Digoxin  
Süsteravim
Stabiilsus lahustes Stabiilsust mõjutavad tegurid stabiilsust mõjutavad faktorid Sobimatus Manustamis viis Viited pdf
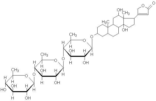
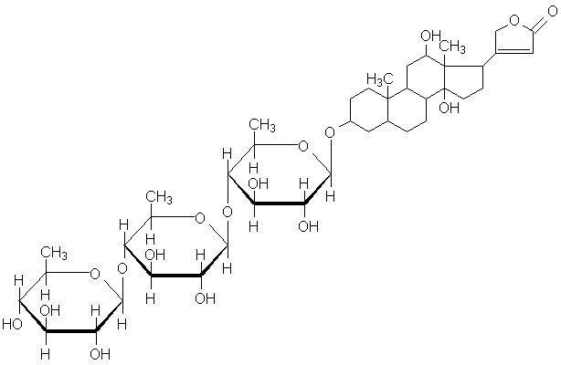
   keemiline struktuur  

Kaubanduslikud nimed erinevates maades   Kaubanduslikud nimed erinevates maades     

Preparaatide nimed on näitlikud ja abianete sisaldus võib erineda sõltuvalt riigist ja laborist

Cardixin Egiptus
Celoxin India
Digibind Ameerika ühendriigid, uus-Meremaa
Digocard Argentiina, Ecuador
Digosin Jaapan
Digoxin Ameerika ühendriigid, Argentiina, Ecuador, Iraan, Kanada, Poola, Rootsi, Soome, Suurbritannia, Taani, Ungari
Digoxina Argentiina, Ecuador, Hispaania, Mehhiko, Venetsueela
Digoxine Kreeka, Prantsusmaa, Sveits
Geoxin India
Lanibos Saudi Araabia
Lanicor Saksamaa
Lanoxin Ameerika ühendriigid, Araabia Ühendemiraadid, Belgia, Egiptus, Holland, Iirimaa, Iraan, Itaalia, Luksemburg, Malaisia, Norra, Portugal, Saudi Araabia, Suurbritannia, Tšiili, uus-Meremaa
Loxinan Mehhiko
Stabiilsus lahustes   Süsteravim   Stabiilsus lahustes : Digoxin     
konteiner lahusti kontsentratsioon temperatuur ladustamine Stabiilsuse kestus Viited
klaas naatriumkloriid 0.9% 2,5 µg/ml 23-26°C valgus
48 Tund
618
Bioloogiline analüüs

klaas naatriumkloriid 0.9% 2,5 µg/ml 4°C kaitsta valguse eest
48 Tund
618
Bioloogiline analüüs

klaas naatriumkloriid 0.9% 50 µg/ml 23-27°C valgus
180 päev
4690
Tõenduspõhisuse tase B+

klaas naatriumkloriid 0.9% 50 µg/ml 3-7°C valgus
180 päev
4690
Tõenduspõhisuse tase B+

klaas glükoos 5% 2,5 µg/ml 23-26°C valgus
48 Tund
618
Bioloogiline analüüs

klaas glükoos 5% 2,5 µg/ml 4°C kaitsta valguse eest
48 Tund
618
Bioloogiline analüüs

klaas Ringer laktaat 2,5 µg/ml 23°C-26°C valgus
6 Tund
618
Bioloogiline analüüs


  Mentions Légales